合作客户/
拜耳公司 |
同济大学 |
联合大学 |
美国保洁 |
美国强生 |
瑞士罗氏 |
相关新闻Info
推荐新闻Info
-
> 耐擦刮无胶消光膜制备方法、高表面张力与收解卷顺畅性的平衡(二)
> 耐擦刮无胶消光膜制备方法、高表面张力与收解卷顺畅性的平衡(一)
> 利用超微量天平制备微孔淀粉处理含Cu(II)离子染料废水
> 不同类型的碱、pH值对孤东油田原油界面张力的影响(下)
> 不同类型的碱、pH值对孤东油田原油界面张力的影响(上)
> 不同结晶结构的脂肪晶体颗粒界面自组装行为、储藏稳定性研究
> 新型POSS基杂化泡沫稳定剂表面张力测定及对泡沫压缩性能的影响(三)
> 新型POSS基杂化泡沫稳定剂表面张力测定及对泡沫压缩性能的影响(二)
> 新型POSS基杂化泡沫稳定剂表面张力测定及对泡沫压缩性能的影响(一)
> 多功能膜材研发:界面张力已成为整套工艺链协同下动态演化的核心控制点
拉筒法和静滴法测定连铸结晶器保护渣表面张力(二)
来源:当代化工研究 浏览 1123 次 发布时间:2024-09-25
3.静滴法表面张力测定
(1)静滴法测定高温熔体表面张力
静滴法是根据在水平垫片上自然形成的液滴形状(如图2所示)以及Young-Laplace方程来计算表面张力,式(2)即为静滴法根据液滴外形计算表面张力的基本方程:
式中,ρl,ρg—液相和气相的密度;z—以液滴顶点O为原点时液滴表面上任意一点Q的垂直坐标;x—以O点为原点的液滴表面上Q点的水平坐标;R1—液滴曲面Q点处的曲率半径;R0—液滴顶点O处的曲率半径;φ—Q点处的曲率半径与z坐标轴之间的夹角。
运用静滴法的基本方程获取高温熔体表面张力的过程如下:通过高温实验获取熔体液滴轮廓的几何图形;利用图像处理技术将高温实验获取的液滴轮廓图形进行处理和提取,如图3(a)所示,得到一组离散的实验数据;依据静滴法基本方程式(2),利用提取的液滴轮廓图形实验数据建立一个连续的液滴边缘轮廓曲线函数;采用曲线拟合方法使得曲线方程能够在最大程度上与实验数据相吻合,获得一条最接近实验数据的理想曲线,如图3(b)所示,并通过此理想曲线方程求得表面张力值。
(2)高温熔渣表面张力测定
在采用静滴法测定表面张力前,需制备预熔渣。所需试剂同上节中拉筒法测定表面张力实验一致,即分析纯试剂CaO、SiO2、Na2CO3和CaF2。将称量好的化学试剂放入高纯石墨坩埚内,并放入高温淬火炉恒温区域中;操作温度控制程序进行升温,为保证上节中拉筒法表面张力测定过程中保护渣成分与该实验所制备的保护渣成分一致,该实验升温速率与拉筒法测定表面张力的升温速率一致,即为5℃·min-1,升温至设定温度同样保温1h,使渣样充分熔化;待实验渣完全熔化后,使渣样迅速坠入冰水混合物中淬冷,干燥并研磨至74μm以下。
该实验需借助高温熔体界面性质测定仪,该测量仪主要由液滴图像拍摄系统(包含高速相机,其安装在高温炉炉管的一端,以便观察和拍摄熔体的整个熔化过程)、高温炉和控温系统(在高温炉中刚玉炉管外部和内部基板底下均安装了B型热电偶,其精度在±1℃)以及气体净化系统(防止熔体和基板被氧化)所组成。
实验渣表面张力测定的实验过程如下:将预熔渣压成直径4mm×高10mm的圆柱体;将圆柱体试样放在高纯石墨基板(质量分数为99.99%)上,然后将基板放在水平试样支架上;在冷态下将试样支架放入炉膛的恒温区内;为了保持液滴形状的规则性和对称性,调整石墨基板的水平度,以保证其上沿表面在水平线上;封闭炉管;抽真空,待炉内真空度在10~2Pa以下时向炉内通入高纯氩气;以5℃·min-1升温速率升至设定温度然后保温0.5h;在从试样开始熔化至保温时间结束整个过程中,采用高速相机对样品轮廓的变化进行拍摄,并对样品轮廓图片进行图片数据处理;运用表面张力计算程序对实验渣表面张力进行计算。熔渣实验结果如图1所示。
4.结果与讨论
在本实验中,对于CaO-SiO2-Na2O-CaF2渣,采用拉筒法和静滴法分别测得的表面张力结果如图1所示。从图中可看出,无论采用静滴法还是拉筒法,测定的熔渣表面张力数值均随着温度的升高而下降。熔渣表面张力随温度上升而下降这一变化趋势在Vaisburd、Oliveira和Dudek等对CaO-Al2O3-SiO2、CaO-Al2O3和精炼渣表面张力的研究中也有体现。根据爱因斯坦方程,如式(3)所示,升高温度可使平均位移x-增加,即分子的无规则热运动就越剧烈,致使分子间距离变大。分子间距离增大,分子间相互作用力随之减小,进而熔体表面张力减小。
分别将拉筒法和静滴法测得的结晶器保护渣表面张力数据进行线性拟合可得:
另外,从图1还可看出采用静滴法测得的表面张力数值明显高于拉筒法测得的表面张力数值。将预熔渣和静滴法测定后的样品分别进行X-射线荧光光谱分析(XRF),结果如表2所示。从表中可看出,静滴法测定后的样品中Na2O和CaF2的含量明显低于预熔渣。这是由于Na2O和CaF2均是易挥发成分,两者生成的NaF(即反应方程Na2O+CaF2=CaO+2NaF)亦是易挥发成分,由此造成静滴法测定保护渣表面张力过程中Na2O、CaF2和NaF的再次挥发,熔渣化学成分的二次变化导致熔渣表面张力的变化。
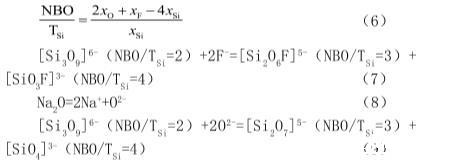
熔体表面张力与熔渣结构的聚合程度密切相关。连铸结晶器保护渣属于硅酸盐,硅酸盐熔体中含有不同聚合程度的硅氧阴离子团。熔渣结构的聚合程度用符号“NBO/TSi”表示,其计算公式如式(4)所示。NBO/TSi值越小,说明熔体聚合程度越高。将预熔渣和静滴法测定后的渣样成分分别带入到式(6)中,计算结果如表2所示。从表中可以看出,静滴法测定后渣样的NBO/TSi值小于预熔渣的NBO/TSi值,说明静滴法测定后的渣样熔体结构聚合程度高于预熔渣熔体结构聚合程度。这是由于F-能降低熔渣结构的聚合程度,将高聚合程度的硅氧阴离子团逐渐解聚成低聚合程度的硅氧阴离子,同时Na2O电解出O2-,O2-的出现亦可降低熔体的聚合程度,反应式见(7)~(9):
表2 CaO-SiO2-Na2O-CaF2熔渣组成(质量分数/%)
从熔渣离子结构理论分析认为:Na2O和CaF2能降低保护渣熔体结构的聚合程度,因此F-和Na+均是变网离子。Sukenaga等认为变网离子的静电势越大,熔渣表面张力越大。F-和Na+的静电势小于O2-的静电势,静电势较小的F-和Na+被排斥到熔渣表面,使得熔渣单位表面上的质点数增加,从而降低了熔渣的表面张力。因此在静滴法测定表面张力的过程中,F-和Na+的二次挥发,使得静滴法测定后的渣样表面张力明显高于拉筒法测得的表面张力数值。
从实验操作上看,采用拉筒法获取表面张力,不需要熔体密度值,不需要预熔实验,但是在测定的过程中无法保证气氛的无氧化,因此不宜用拉筒法测定易氧化熔体的表面张力。静滴法虽所需试样较少,不需用标准物质校正,并且气氛可控,但需保证预熔样品成分稳定。
5.结论
本文参照工业生产用连铸结晶器保护渣的组成和成分,选择了CaO-SiO2-Na2O-CaF2渣(CaO/SiO2质量分数比为1.0,Na2O和CaF2的质量分数分别为15%和20%)为考察对象,分别采用拉筒法和静滴法测定了1350℃、1370℃、1390℃和1410℃下CaO-SiO2-Na2O-CaF2保护渣的表面张力。实验结果发现拉筒法和静滴法测定的熔渣表面张力随温度的演变行为一致,均随着温度的升高而下降;同一温度下采用静滴法测得的表面张力数值高于拉筒法测得的表面张力数值,这是由于CaO-SiO2-Na2O-CaF2渣中含有挥发成分Na2O和CaF2,静滴法测定表面张力过程中Na2O和CaF2的二次挥发使得表面张力数值升高。

