合作客户/
拜耳公司 |
同济大学 |
联合大学 |
美国保洁 |
美国强生 |
瑞士罗氏 |
相关新闻Info
推荐新闻Info
-
> 耐擦刮无胶消光膜制备方法、高表面张力与收解卷顺畅性的平衡(二)
> 耐擦刮无胶消光膜制备方法、高表面张力与收解卷顺畅性的平衡(一)
> 利用超微量天平制备微孔淀粉处理含Cu(II)离子染料废水
> 不同类型的碱、pH值对孤东油田原油界面张力的影响(下)
> 不同类型的碱、pH值对孤东油田原油界面张力的影响(上)
> 不同结晶结构的脂肪晶体颗粒界面自组装行为、储藏稳定性研究
> 新型POSS基杂化泡沫稳定剂表面张力测定及对泡沫压缩性能的影响(三)
> 新型POSS基杂化泡沫稳定剂表面张力测定及对泡沫压缩性能的影响(二)
> 新型POSS基杂化泡沫稳定剂表面张力测定及对泡沫压缩性能的影响(一)
> 多功能膜材研发:界面张力已成为整套工艺链协同下动态演化的核心控制点
多相凝聚体系的界面张力计算方法及研究进展
来源:ACS材料X,作者ACS Publications 浏览 828 次 发布时间:2024-11-19
带相反电荷的聚电解质链在溶液中会发生液-液相分离,形成富含高分子的浓相(凝聚相)和几乎不含高分子的稀相。这类复合凝聚现象与原始细胞模型、无膜细胞器的形成及生物分子的有序组装结构密切相关,对理解生命体系具有重要意义。在液-液相分离过程中,界面张力是一个极为重要的物理性质,它决定了复合凝聚物的许多基本特征,对多个领域的应用有着决定性影响。
有别于简单两组分(聚阴离子与聚阳离子)体系,多组分聚电解质体系会发生多相复合凝聚而出现共存的多个凝聚相,它们形成嵌套型或串珠型等各种多级分层结构,这些结构的形成与生命体系中的分子定位、定向招募相关,也是蛋白质翻译和核仁应激反应的结构基础。决定凝聚物体系采取何种多级液滴结构的关键因素正是不同共存相间的界面张力。因此,深入研究多相凝聚体系的界面张力具有非常重要的价值。当前理论仅处理简单两组分体系形成的稀相与浓相间的界面,多相分离体系的界面张力尚未得到解决。
文章亮点
本文针对静电作用驱动多组分体系发生的多相凝聚现象,建立了多相界面张力的计算方法,预测了聚电解质链带电量不对称驱动的三相分离体系所形成的相结构;揭示出最浓相与稀相并不直接接触,而必须以次浓相作为两相间的过渡区形成三层嵌套型结构,且外加盐离子并不会改变三该core-shell结构。这为细胞内以核仁为例的多层嵌套型区室化结构提供了可能的形成机制。
图文解读
我们前期的理论研究(ACS Macro Lett.2021,10,1041)表明,两种具有不同线电荷密度的聚阳离子(A和B)与一种聚阴离子C的三组分溶液能够发生三相分离形成共存的稀相(I相)、含A/C的凝聚相(II相,最浓相)和含B/C的凝聚相(III相,次浓相)。本文则关注于该代表性的多相凝聚体系的界面张力性质。
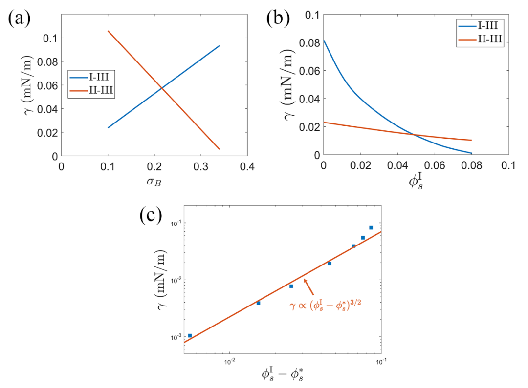
对于I-III相界面与II-III相界面,随着A/B链间线电荷密度差异的降低,A、B链之间由静电关联作用带来的有效排斥减弱,I-III相之间的界面张力增加而II-III相之间的界面张力减小。增加盐离子浓度,静电屏蔽作用增强,聚电解质复合凝聚的驱动力减弱,因此I-III相与II-III相之间的界面张力将降低。在接近导致不发生相分离的临界盐浓度时,I-III相界面张力与盐浓度遵循3/2的标度关系。
图1.(a)I-III相与II-III相间的界面张力随B链线电荷密度σB变化的曲线。(b)I-III相与II-III相间的界面张力随外加盐离子浓度变化的曲线。(c)接近临界盐时I-III相界面张力与盐浓度之间的标度关系。
对于I-II相之间的界面,各物种密度分布曲线呈现出复杂的计算结果。浓度分布曲线的对比(图2)显示,在左侧I相的体相浓度区域与右侧II相的体相浓度区域之间,会出现中间过渡区域,在此区域内各物种的浓度等于III相中各分子的体相浓度。这表明,计算得到的I-II相界面实际为I-III-II的双层界面,而I-II相之间不会发生直接接触。因此,三相分离体系将倾向于形成稀相-次浓度凝聚相-高浓度凝聚相的核-壳嵌套型稳定结构(图3)。进一步分析表明这一现象与界面处的静电关联和聚合物构象熵相关。此外,给体系加入盐离子后,静电屏蔽效应会使两凝聚相略有溶解,但盐离子并不改变三相分离的凝聚相多层结构。
图2.I-II相界面处的物种浓度分布曲线与I-III相界面和II-III相界面的浓度分布曲线对比。蓝色实线为I-II相界面的浓度分布曲线,左侧为I相,右侧为II相;红色点线I-III相界面的浓度分布曲线,左侧为I相,右侧为III相;黄色虚线为II-III相界面的浓度分布曲线,左侧为III相,右侧为II相。
图3.三相分离体系的核-壳结构。具有较高电荷密度的聚合物形成的凝聚相构成核,较低电荷密度的聚阳离子和其复合的聚阴离子包裹在壳外层。
总结/展望
本文从理论层面研究了多组分聚电解质体系发生多相分离的界面性质,预测了带电量不对称驱动的三相分离体系中核-壳结构的形成,并表明该结构在一定浓度的盐溶液中具有稳定性。该工作对于理解生命体系中液-液相分离所导致多级结构的形成机制具有重要意义,同时为具有嵌套型结构凝聚物的设计与功能调控提供了理论基础。

