合作客户/
拜耳公司 |
同济大学 |
联合大学 |
美国保洁 |
美国强生 |
瑞士罗氏 |
相关新闻Info
推荐新闻Info
-
> 耐擦刮无胶消光膜制备方法、高表面张力与收解卷顺畅性的平衡(二)
> 耐擦刮无胶消光膜制备方法、高表面张力与收解卷顺畅性的平衡(一)
> 利用超微量天平制备微孔淀粉处理含Cu(II)离子染料废水
> 不同类型的碱、pH值对孤东油田原油界面张力的影响(下)
> 不同类型的碱、pH值对孤东油田原油界面张力的影响(上)
> 不同结晶结构的脂肪晶体颗粒界面自组装行为、储藏稳定性研究
> 新型POSS基杂化泡沫稳定剂表面张力测定及对泡沫压缩性能的影响(三)
> 新型POSS基杂化泡沫稳定剂表面张力测定及对泡沫压缩性能的影响(二)
> 新型POSS基杂化泡沫稳定剂表面张力测定及对泡沫压缩性能的影响(一)
> 多功能膜材研发:界面张力已成为整套工艺链协同下动态演化的核心控制点
高温多元合金表面张力的计算方法及装置、设备
来源:长沙理工大学 浏览 896 次 发布时间:2024-11-20
表面张力是多元高温合金的重要物理化学特性,在表面化学、生物医药、高温陶瓷等领域的研究和应用中具有重要影响。例如,在金属冶炼中,通过计算多元高温合金的表面张力,精准调控合金熔体在基底材料上的涂覆和渗透深度及速率,制备以多元合金为基底的耐高温、抗氧化的多功能材料和超高温陶瓷复合材料;高温多元合金的提取与精炼、涂覆和渗透、表面活性剂的应用、焊接和铸造、金属成形、纳米材料制备等领域也与表面张力密切相关。高温熔体作为可再生能源体系的重要传热介质,因此快速、精准地测量高温熔体的表面张力对工程应用具有重要意义。
目前,基于热力学计算表面张力模型主要有:对称几何模型(Muggianu模型、Kohler模型)、非对称模型(Toop模型、Hillert模型、Chou模型、Guggenheim模型,Butler模型Tamura模型)。这些计算模型方法存在如下缺陷:预测多元合金表面张力时,与实验值之间误差大于10%;计算精度低,拟合参数与热力学性质无关,物理意义不明确,拟合参数在多元合金体系过多,计算程序复杂,实际运算效率较低。特别是对高熔点的多元合金,传统的模型无法精准预测多元合金的表面张力。
因此,现有技术中存在对多元合金表面张力计算方法改进的需求。
下面提出一种高温多元合金表面张力的计算方法、装置、设备及可读介质,通过高通量获取热力学,以解决现有技术中存在的无法精准计算多元合金的表面张力、拟合参数无物理意义以及参数过多等技术问题。
一种高温多元合金表面张力的计算方法,包括以下步骤:
选取不同的合金体系,利用热力学性质,通过高通量迭代获取并导出任意组分、温度下的过剩吉布斯自由能的结果文件;
基于Butler模型对表相的偏摩尔过剩吉布斯自由能进行修正以生成二元合金体系的表面张力模型;
检索现有数据库获取合金实验数据值,利用所提出的基于热力学性质计算的表面张力模型,并结合合金实验数据值进行拟合计算最优拟合参数,基于表面张力模型和最优拟合参数计算高阶多元合金的表面张力。
在一些实施方式中,通过高通量迭代获取并导出任意组分、温度下的过剩吉布斯自由能的结果文件包括:
选取不同的合金体系,利用基于Calphad的相图热力学和扩散动力学计算程序Thermo-Calc,运用语言编程读取TDB文件,高通量迭代计算并导出任意组分、温度下的过剩吉布斯自由能的结果文件。
在一些实施方式中,基于Butler模型对偏摩尔过剩吉布斯自由能进行修正以生成二元合金体系的表面张力模型包括:
基于Butler模型对偏摩尔过剩吉布斯自由能进行修正,计算多元合金理想液相下的表面张力、体相偏摩尔过剩吉布斯自由能对多元合金理想液相下的表面张力产生的偏析以及表相偏摩尔过剩吉布斯自由能对多元合金理想液相下的表面张力影响的修正项,以生成二元合金表面张力模型。
在一些实施方式中,二元合金表面张力模型为:
在一些实施方式中,检索现有数据库获取合金实验数据值包括:
检索Thermo-Calc数据库和实验数据文献获得合金表面张力的实验值。
图1为二元合金的表面张力计算与现有实验值的对比图;
图2为Ti-Zr-Hf三元合金表面张力的预测图;
在一些实施方式中,利用所提出的基于热力学性质计算表面张力模型并结合合金实验数据值进行拟合计算最优拟合参数包括:
利用语言编程读取TDB文件,调用多元体系的结合合金实验数据值和基于热力学性质的表面张力模型进行实验值拟合,获得最优拟合参数Lij和Lijk。
在一些实施方式中,基于表面张力模型和最优拟合参数计算高阶多元合金的表面张力包括:
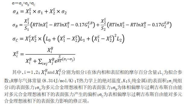
基于表面张力模型和最优拟合参数Lij和Lijk计算高阶多元合金的表面张力σ,计算公式如下:
其中,i=1,2,3,……,n;and分别为组分i在体内相和表层相的摩尔百分含量;R摩尔气体常量(8.314J/mol/K);T热力学上的绝对温度,K;Si纯金属i的表面积;σi纯组分i的表面张力;σA为多元合金理想液相下的表面张力;σB为体相偏摩尔过剩吉布斯自由能对多元合金理想液相下的表面张力产生的偏析;σC为表相偏摩尔过剩吉布斯自由能对多元合金理想液相下的表面张力影响的修正项。
附:一种高温多元合金表面张力的计算装置,包括:
高通量计算模块,配置用于选取不同的合金体系,利用热力学性质,通过高通量迭代获取并导出任意组分、温度下的过剩吉布斯自由能的结果文件;
第一修正模块,配置用于基于Butler模型对表相的偏摩尔过剩吉布斯自由能进行修正以生成二元合金体系的表面张力模型;
第二修正模块,配置用于检索现有数据库获取合金实验数据值,利用所提出的基于热力学性质计算的表面张力模型,并结合合金实验数据值进行拟合计算最优拟合参数,基于表面张力模型和最优拟合参数计算高阶多元合金的表面张力。
此方法利用现有的热力学数据,基于新模型,从而精准预测多元合金的表面张力,对精准控制反应渗透深度及速率制备超高温陶瓷具有重要意义,能够计算元素电子差异大的多元合金且熔点高于2000摄氏度的表面张力;预测精度高;与现有实验数据相比,相对误差低于5%;拟合参数少,物理意义明确,计算方法简单,解决了算法复杂的困难;能够预测多元合金指定成分、指定温度下的表面张力数据,实现智能化高通量计算。

