合作客户/
拜耳公司 |
同济大学 |
联合大学 |
美国保洁 |
美国强生 |
瑞士罗氏 |
相关新闻Info
推荐新闻Info
-
> 耐擦刮无胶消光膜制备方法、高表面张力与收解卷顺畅性的平衡(二)
> 耐擦刮无胶消光膜制备方法、高表面张力与收解卷顺畅性的平衡(一)
> 利用超微量天平制备微孔淀粉处理含Cu(II)离子染料废水
> 不同类型的碱、pH值对孤东油田原油界面张力的影响(下)
> 不同类型的碱、pH值对孤东油田原油界面张力的影响(上)
> 不同结晶结构的脂肪晶体颗粒界面自组装行为、储藏稳定性研究
> 新型POSS基杂化泡沫稳定剂表面张力测定及对泡沫压缩性能的影响(三)
> 新型POSS基杂化泡沫稳定剂表面张力测定及对泡沫压缩性能的影响(二)
> 新型POSS基杂化泡沫稳定剂表面张力测定及对泡沫压缩性能的影响(一)
> 多功能膜材研发:界面张力已成为整套工艺链协同下动态演化的核心控制点
连接基对3种表面活性剂GSS271、GSS371和GSS471动态表面性能的影响(下)
来源:印染助剂 浏览 867 次 发布时间:2024-12-04
2.2动态表面张力
Rosen等研究DST随时间变化后给出以下经验方程:
其中,γ0为溶剂表面张力,γt为表面活性剂溶液t时刻表面张力,γm为介平衡表面张力。n与t*均为常数。
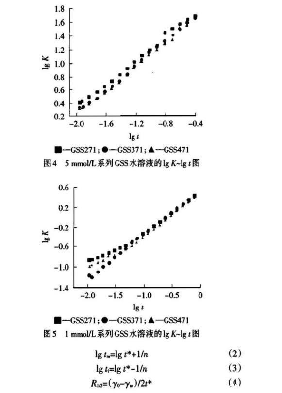
测得的DST数据经公式(1)处理后,令lgK表示lg[(γ0-γt)/(γt-γm)],以lgK对lgt作图,结果见图4~5。从直线的斜率与截距可以得到DST的特性参数n与t*值,并可根据公式(2)~(4)进一步得到诱导区结束时间ti、介平衡开始时间tm及t1/2时表面张力下降速率R1/2,结果见表2。
由表2可知,GSS271、GSS371、GSS471的n值基本相同,说明吸附初期(t→0)连接基长度对表面活性剂分子从本体溶液中扩散到面下层的过程影响较小。GSS471的t*最大,反映吸附后期(t→∞)表面活性剂分子从面下层吸附到溶液表面的势垒最小,这与GSS471柔性连接链易弯曲导致两条疏水链间作用增强,更易在表面定向排列有关。GSS271的ti最小,表明诱导区结束的时间最早,R1/2最大表明动态表面活性最好,这与其连接基最短且分子体积较小有关。
以GSS271为例,浓度越高,表面活性剂分子的扩散推动力越大,于气液界面吸附越快,DST下降越显著,因而诱导区结束的时间越早,越易达到介平衡,这与γm、ti、tm较小吻合;t*值随浓度增大而减小,表明吸附后期势垒随浓度增大而增大,因为浓度较高时,更多的GSS271分子吸附于表面,由于空间位阻、分子间静电斥力的影响,阻碍了新的GSS271分子吸附,吸附势垒变大。浓度高时,R1/2大,动态表面活性好。
在相同浓度下,连接基越短,动态表面活性越好,这与分子体积小、空间位阻小、扩散阻力小有关。
2.3动态吸附模型
表面活性剂分子在新鲜表面上的吸附分两步进行:(1)分子从本体溶液到次表面的迁移;(2)分子在次表面和表面间的吸附平衡。在动态吸附模型的基础上提出了两种主要的动态吸附机理:扩散控制吸附、混合动力控制吸附。
对c<cmc的表面活性剂溶液,Ward和Tordai根据扩散控制机理提出了描述表面吸附动力学的模型:
式中,Γt为t时刻新鲜表面上表面活性剂的吸附量,c0为表面活性剂本体溶液浓度,D为表面活性剂分子扩散系数,cs为次表面层中表面活性剂浓度,τ为虚拟变量。其中前一部分表示分子从体相到面下层的迁移,后一部分表示随着面下层浓度的增加,分子由面下层扩散回体相。由于反扩散项积分无法计算,对于离子型表面活性剂,Miller等用渐进的方法对Ward-Tordai方程进行了修正:
对于阴离子双子表面活性剂,n=3,Гeq(平衡时表面吸附量)由平衡时的γ~c曲线经计算机处理得到。对于混合动力控制吸附模型,Liggieri和Raveva引进重整化扩散系数D*,与由方程(7)得到的表观扩散系数D的关系为:
当εa→0时,D*→D,混合动力控制过程趋近于扩散控制过程。混合动力过程可看成是存在一定能垒的扩散过程,修正后的方程为:
其中,Da=D*2/D=Dexp(-2εa/RT),当吸附后期为扩散控制吸附时,Da=D。
由式(8)和(9)可以看出:溶液的γt(t→0)与t1/2、γt(t→∞)与t-1/2呈线性关系。以γt分别对t1/2和t-1/2作图,结果见图6、7,直线的截距为对应的平衡张力,分子扩散系数可以由直线部分斜率求出,结果见表3。
从表3可知,吸附初期GSS的扩散系数较吸附后期大2~3个数量级。表明GSS分子自本体溶液扩散到次表面的速度远大于在气液界面与次表面之间的交换速度,因为在吸附初期(t→0),新鲜表面不存在吸附势垒,属扩散控制吸附;吸附后期(t→∞),在气液界面吸附的GSS分子由于相互作用产生的位能垒、离子头基间的静电斥力以及分子的定位重排等共同作用导致了混合动力扩散控制。
在吸附初期,GSS271的扩散系数最大,表明较容易扩散到次表面,这与在相同浓度下Rosen模型处理的n值最小吻合;在吸附后期,GSS471的扩散系数最大,这与其柔性连接链扭曲变形而在表面定向排列紧密相关,且与Rosen模型处理的t*值最大吻合。
表3 1 mmol/L系列GSS表面活性剂水溶液的表观扩散系数
3、结论
(1)GSS471的cmc、γcmc最小,这与其柔性连接链易扭曲变形密切相关。
(2)连接基越短,动态表面活性越好。当表面活性剂浓度c>cmc时,动态表面活性高于c<cmc。
(3)当表面活性剂浓度高时,诱导区结束时间早,易达到介平衡,吸附后期势垒大。
(4)当表面活性剂浓度c<cmc时,GSS表面活性剂在吸附初期为纯扩散控制,在吸附后期为混合动力扩散控制。

