合作客户/
拜耳公司 |
同济大学 |
联合大学 |
美国保洁 |
美国强生 |
瑞士罗氏 |
相关新闻Info
-
> 双子型起泡剂ULT-1的分子结构式、表面张力、抗温/抗盐性能及煤样润湿性变化——结果与讨论、结论
> 不同OFP含量的FPUA光固化涂层合成及表面性能研究
> 高盐油藏下两性/阴离子表面活性剂协同获得油水超低界面张力的方法(三)
> 不同温度下可溶解聚乙二醇低共熔溶剂的密度、电导率、表面张力等性质(二)
> LB膜制备方法与注意事项
> 煤油的界面张力多少合适,煤油表面张力与温度对照表
> 多频超声波技术&人工神经网络构建变压器油界面张力预测模型(二)
> 基于药液表面张力测定估算苹果树最大施药液量的方法(三)
> 过硫酸钾、K2S2O8对压裂液破胶性能与表面张力的影响——实验部分
> pH对马来松香MPA与纳米Al2O3颗粒形成的Pickering乳液类型、表/界面张力影响(三)
推荐新闻Info
-
> 耐擦刮无胶消光膜制备方法、高表面张力与收解卷顺畅性的平衡(二)
> 耐擦刮无胶消光膜制备方法、高表面张力与收解卷顺畅性的平衡(一)
> 利用超微量天平制备微孔淀粉处理含Cu(II)离子染料废水
> 不同类型的碱、pH值对孤东油田原油界面张力的影响(下)
> 不同类型的碱、pH值对孤东油田原油界面张力的影响(上)
> 不同结晶结构的脂肪晶体颗粒界面自组装行为、储藏稳定性研究
> 新型POSS基杂化泡沫稳定剂表面张力测定及对泡沫压缩性能的影响(三)
> 新型POSS基杂化泡沫稳定剂表面张力测定及对泡沫压缩性能的影响(二)
> 新型POSS基杂化泡沫稳定剂表面张力测定及对泡沫压缩性能的影响(一)
> 多功能膜材研发:界面张力已成为整套工艺链协同下动态演化的核心控制点
浮选药剂的性能、组合用药机理及协同效应的影响因素(一)
来源:金属矿山 浏览 936 次 发布时间:2025-02-05
同类性质药剂的组合使用称为组合用药,或称为混合用药、联合用药、配合用药等。组合药剂在浮选作业和溶剂萃取中均有广泛使用。组合药剂的重要特性是协同效应,但即使是研究起步较早的萃取剂,由于协同效应的机理复杂、影响因素较多,人们的认识也未达到令人满意的程度。
见诸报导的关于组合用药机理的研究较少,朱建光等在研究锡石和黑钨矿的选矿时发现,先加入强捕收剂或同时加入2种捕收剂均能产生正协同效应,若先加入弱捕收剂后加入强捕收剂则往往产生负协同效应或无协同效应,并证明可利用“协同效应最佳点”的方法指导混合用药。本研究应用浮选药剂理论和表面活性剂的物理化学性质,通过理论计算和已有的浮选试验数据,探索组合药剂的协同效应,进而归纳总结协同效应的内在影响因素。
1浮选药剂的性能
影响浮选药剂性能的因素可分为价键因素、亲水-疏水因素和分子空间几何因素。随着浮选理论研究的进展,药剂结构性能判据也相继提出。药剂与矿物作用的“溶度积假说”是较早研究药剂结构性能的学说;此后,王淀佐院士用药剂基团电负性理论研究了药剂性能,并提出了药剂亲水-疏水平衡关系式;陈建华提出了药剂亲固能的电负性计算公式;林强提出了浮选药剂的活性-选择性原理。随着量子化学研究的进展,人们开始用量子化学参数、能量判据研究药剂性能。总之,人们对浮选药剂结构性能的研究水平已能够较清晰地比较不同浮选药剂的选择性和捕收性,这为组合药剂协同效应的定量研究提供了基础。
浮选药剂性能还和表面物理化学性质有关,某些表面活性剂虽然没有明显的浮选性能,但加入浮选体系后却可大大优化浮选指标。此外,还有一些药剂,如十二烷基磺酸钠和十二烷基苯磺酸钠,既有浮选性能又有乳化性能。因此,研究这些表面活性剂的物理化学性质对研究药剂的协同效应也有重要意义。使溶液表面张力降低是表面活性剂的重要标志。溶液表面张力降低的程度可作为表面活性剂活性大小的量度。对大量试验结果的分析、归纳表明,表面张力可通过临界胶团浓度CMC和表面活性剂达到临界胶团浓度时的表面张力γCMC表征。
2同系列浮选药剂组合使用的协同效应
羧酸类捕收剂是氧化矿浮选最常用的捕收剂之一。本研究以羧酸类捕收剂为研究对象,探索同系列浮选药剂组合使用时的规律。
2.1油酸与不同碳链长度的羧酸类捕收剂组合
月桂酸、肉豆蔻酸、棕榈酸、硬脂酸和油酸的碳链长度分别是12、14、16、18和18。白钨矿的浮选试验表明,前4种药剂分别与油酸组合使用时,油酸和月桂酸组合使用的效果最好。为研究碳链长度对药剂价键特征的影响,用Gaussian软件计算了不同碳链长度的羧酸类捕收剂的前线轨道能级和氧原子的净电荷,结果如表1所示。
表1不同碳链长度的羧酸氧原子净电荷及轨道能级
由表1可知,药剂的前线轨道能级和净电荷几乎不受碳原子数目变化的影响,即碳链长度对药剂价键特性的影响可忽略不计,因此,浮选性能的差异主要与亲水-疏水因素有关。
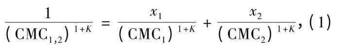
同系列表面活性剂混合后的临界胶团浓度(CMC1,2)可由下式计算:
式中,K为常数;x1、x2分别是代号为1、2的表面活性剂在两者组成的混合物中的摩尔分数,计算时代入小数;CMC1为组分1的临界胶团浓度,mol/L;CMC2为组分2的临界胶团浓度,mol/L;CMC1,2为混合组分的临界胶团浓度,mol/L。
设CMC1<CMC2,则CMC1<CMC1,2<CMC2。
进一步的研究表明,药剂组合后溶液的表面张力(γCMC)大小也介于各组分单独使用时的溶液表面张力之间。从表面活性剂的CMC值和γCMC来看,组合药剂等同于某一碳链长度的特定羧酸类捕收剂,该碳链长度在最大碳链长度和最小碳链长度之间。浮选药剂的选择性与碳链长度密切相关,碳链越长,药剂捕收性越强,选择性越低。但是碳链越长,药剂溶解性越差;碳链太短,则药剂疏水性不足,将失去捕收性。因此,药剂碳链长度有一定范围。
浮选试验和理论计算表明,碳原子数目超过10的羧酸类捕收剂,碳链长度几乎不影响药剂的价键特性,碳链长度相差越大,药剂的选择性和捕收性差别也越明显,协同效应也较明显。
2.2油酸与不同饱和度的羧酸类捕收剂组合
硬脂酸、油酸、亚麻酸和亚油酸同为18个碳的脂肪酸,饱和度依次下降。白钨矿浮选试验表明,油酸与亚麻酸组合使用的效果最好,且油酸与月桂酸组合使用的浮选指标不如油酸与亚麻酸组合使用的浮选指标。用Gaussian软件分别计算上述4种药剂的前线轨道能级和氧原子的净电荷,结果如表2所示。
表2不同饱和度的羧酸的氧原子净电荷及轨道能级
由表2可知,对于18个碳链的脂肪酸,碳链不饱和度对药剂的价键特性影响明显。碳链的不饱和度对分子最高已占轨道能级和最低未占轨道能级均有明显影响,但不影响氧原子的净电荷。
与其余3种药剂相比,硬脂酸饱和度最高,溶解性最差,不利于药剂的选择性和捕收性,因此,硬脂酸与其余3种药剂组合使用的协同效应不好。油酸、亚麻酸和亚油酸这3种药剂中,油酸与亚麻酸的前线轨道能级差别最大,疏水性差别最大,此外,亚麻酸的溶解性最好。
浮选试验和理论计算表明,碳原子数目为18的羧酸类捕收剂,不饱和度相差越大的药剂组合使用时,其协同效应越好。改变碳链长度,仅能改变药剂的疏水性和表面活性,而药剂价键特性变化不明显;改变药剂的饱和度,可同时改变药剂的价键特性、疏水性以及表面活性。因而,不同饱和度药剂之间的捕收性和选择性的差异比不同碳链长度药剂之间的捕收性和选择性差异大,这可能是油酸与亚麻酸组合比油酸与月桂酸组合浮选效果好的原因。

