合作客户/
拜耳公司 |
同济大学 |
联合大学 |
美国保洁 |
美国强生 |
瑞士罗氏 |
相关新闻Info
-
> 双子型起泡剂ULT-1的分子结构式、表面张力、抗温/抗盐性能及煤样润湿性变化——结果与讨论、结论
> 不同OFP含量的FPUA光固化涂层合成及表面性能研究
> 高盐油藏下两性/阴离子表面活性剂协同获得油水超低界面张力的方法(三)
> 不同温度下可溶解聚乙二醇低共熔溶剂的密度、电导率、表面张力等性质(二)
> LB膜制备方法与注意事项
> 煤油的界面张力多少合适,煤油表面张力与温度对照表
> 多频超声波技术&人工神经网络构建变压器油界面张力预测模型(二)
> 基于药液表面张力测定估算苹果树最大施药液量的方法(三)
> 过硫酸钾、K2S2O8对压裂液破胶性能与表面张力的影响——实验部分
> pH对马来松香MPA与纳米Al2O3颗粒形成的Pickering乳液类型、表/界面张力影响(三)
推荐新闻Info
-
> 耐擦刮无胶消光膜制备方法、高表面张力与收解卷顺畅性的平衡(二)
> 耐擦刮无胶消光膜制备方法、高表面张力与收解卷顺畅性的平衡(一)
> 利用超微量天平制备微孔淀粉处理含Cu(II)离子染料废水
> 不同类型的碱、pH值对孤东油田原油界面张力的影响(下)
> 不同类型的碱、pH值对孤东油田原油界面张力的影响(上)
> 不同结晶结构的脂肪晶体颗粒界面自组装行为、储藏稳定性研究
> 新型POSS基杂化泡沫稳定剂表面张力测定及对泡沫压缩性能的影响(三)
> 新型POSS基杂化泡沫稳定剂表面张力测定及对泡沫压缩性能的影响(二)
> 新型POSS基杂化泡沫稳定剂表面张力测定及对泡沫压缩性能的影响(一)
> 多功能膜材研发:界面张力已成为整套工艺链协同下动态演化的核心控制点
浮选药剂的性能、组合用药机理及协同效应的影响因素(二)
来源:金属矿山 浏览 788 次 发布时间:2025-02-05
3不同官能团浮选药剂组合使用的协同效应
与同系列捕收剂组合不同,极性基不同的药剂组合产生的协同效应更为复杂,为便于研究,本研究以油酸钠为研究对象。
3.1乳化剂作用下油酸钠溶液表面张力与浮选效果的关系
热力学第二定律的表达式为
式中,γ为界面张力,mN/m;G为吉布斯自由能,kJ/mol;A为表面积,m2。在温度T、压力P和组分n一定的情况下,设G和γ均是表面积A的函数,那么式(2)的偏微分式将变为微分式,即
设加入表面活性剂后界面张力由γ1减小到γ2,当A发生变化时,G的变化分别由式(4)、式(5)计算:
式中,ΔG1为未加表面活性剂体系自由能的变化,kJ/mol;ΔG2为加表面活性剂体系自由能的变化,kJ/mol。
当A2>A1,则
即ΔG2<ΔG1,说明加入表面活性剂后,体系中非水溶性物质的表面积增加(大油滴变为小油滴)需要的能量较低,即较容易分散。
同理,当A2<A1,则ΔG2>ΔG1,说明加入表面活性剂后,体系中非水溶性物质的表面积减小(小油滴变为大油滴)需要的能量较高,即过程自发进行的能力降低。
对于在水中溶解度较低的捕收剂,如油酸或低温下的油酸钠,加入表面活性剂后,油-水界面张力降低,有助于油酸药效的发挥。油-水界面张力难以测定,但可用溶液的表面张力来衡量,油酸钠溶液及加入表面活性剂后的油酸钠溶液的表面张力与油酸钠浓度C的关系见图1。
图1油酸钠溶液表面张力与浓度关系
从图1可以看出,加入表面活性剂OH(CH2CH2O)nH或R—C18H26O3,都可降低油酸钠溶液的表面张力,且油酸钠+OH(CH2CH2O)nH溶液的表面张力大于油酸钠+R—C18H26O3溶液的表面张力。
根据热力学推演,OH(CH2CH2O)nH和R—C18H26O3都可用于提高低温下油酸钠的药效,并且R—C18H26O3效果优于OH(CH2CH2O)nH。一水硬铝石和高岭石的浮选试验证明,OH(CH2CH2O)nH和R—C18H26O3均可提高油酸钠的浮选性能,并且R—C18H26O3的低温性能好于OH(CH2CH2O)nH。由此可见,乳化剂对表面张力的降低程度可能与协同效应有一定关系。
3.2油酸钠和表面活性剂疏水链间的相互作用与浮选效果的关系
表面活性剂浓度超过一定量后会从单体缔合成胶态聚合物,溶液的表面张力或电导率等性质发生突变时的浓度就是形成胶团时的浓度。因此,通过测定表面张力或电导率就可测出CMC,油酸钠与磺酸类捕收剂和羧酸类捕收剂组合后的表面活性参数见表3。
表3油酸钠与磺酸盐和羧酸混合水溶液的表面活性参数(298 K)×10-3 mol/L
浮选药剂的协同效应与浮选药剂之间的相互作用有密切的联系。经热力学推导,得出表面活性剂头基与头基相互作用强弱指标的计算公式为
式中,β为表面活性剂头基与头基相互作用的强弱指标;xm1为胶团中组分1所占的摩尔分数,计算时代入小数,其值的计算公式为
Maeda和Ruiz等认为混合体系中疏水链与疏水链和头基与头基之间的相互作用都影响胶束的稳定性。式(6)仅解释了头基与头基之间的相互作用,不包含表面活性剂疏水部分之间的链段与链段的作用,因此,Maeda提出了另外一个疏水链与疏水链相互作用参数B1,其计算公式为
为便于求xm1,设
根据表3中的数据,将油酸钠和十二烷基硫酸钠的CMC值代入式(9)和式(10),用Origin软件作g(xm1)和f(xm1)关于xm1的曲线,如图2所示。
图2 g(x m1)和f(x m1)关于x m 1的曲线
由图2可得出2曲线的交点C的坐标为(0.707,-0.062),即xm1=0.707。将xm1=0.707代入(6)式,得β=-1.34;代入(8)式,得B1=-2.93。
同理,油酸钠与十二烷基苯磺酸钠的β1=-2.55,油酸钠与肉豆蔻酸的β=-5.43,油酸钠和棕榈酸的β=-3.29,则油酸钠与十二烷基苯磺酸钠的疏水链与疏水链的B1=-2.05,油酸钠与肉豆蔻酸的疏水链与疏水链的B1=-6.92,油酸钠与棕榈酸的疏水链与疏水链的B1=-3.39。
油酸钠和磺酸盐类表面活性剂组合后用于一水硬铝石的浮选,试验结果表明,十二烷基硫酸钠能明显改善一水硬铝石的浮选效果,十二烷基苯磺酸钠不明显,肉豆蔻酸的效果好于棕榈酸。可见,浮选试验结果与药剂疏水链之间的相互作用强弱顺序一致,而与头基与头基之间的相互作用强弱顺序不一致,组合药剂的协同效应可能与疏水链与疏水链相互作用能有关。
3.3羧酸类捕收剂与苯甲羟肟酸的组合使用
羧酸类捕收剂与苯甲羟肟酸是两类典型的氧化矿浮选组合药剂,两者都可用于白钨矿浮选,两类药剂的浮选试验结果如表4所示。
表4不同浮选方法选白钨矿的浮选指标
由表4可知,733与苯甲羟肟酸组合药剂的浮选效果好于油酸与苯甲羟肟酸的组合药剂。下面以这两种药剂为例,讨论基团电负性和极性基断面尺寸与协同效应的关系。药剂基团电负性和极性基断面尺寸都影响药剂选择性,经推导,两种捕收剂的参数若满足,则极性基断面尺寸是药剂选择性的主要影响因素,其中,Δxg为基团电负性的差值,取正值;xg为基团电负性值,计算时代入两者中的较大值;x0为氧的负电性;δ为极性基断面尺寸,10-10m;Δδ为极性基断面尺寸的差值,取正值。
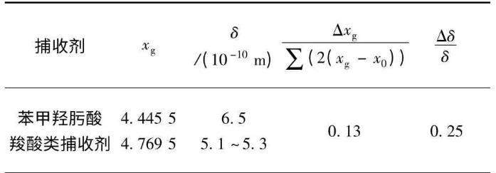
经计算,羧酸类捕收剂与苯甲羟肟酸的基团电负性和极性基断面尺寸如表5所示。
由表5得,极性基几何大小是药剂选择性差异的主要影响因素。一般来说,药剂极性基几何尺寸越大,其选择性越好。苯甲羟肟酸的极性基断面尺寸大于羧酸根离子,故苯甲羟肟酸的选择性好于羧酸类捕收剂。碳链较长的羧酸类捕收剂捕收性较好,因此,捕收性好的羧酸类捕收剂和选择性好的苯甲羟肟酸组合,在浮选白钨矿时因产生协同效应而取得良好指标。如前所述,羧酸类捕收剂的选择性和溶解性随碳链增长而降低,因此,在确保捕收剂具有良好捕收性的条件下,为获得更好的精矿品位,可使用碳链较短的羧酸类捕收剂733与苯甲羟肟酸组合使用。
表5羧酸类捕收剂和苯甲羟肟酸捕收剂性能比较
浮选试验和理论计算表明,组合药剂的浮选效果和协同效应与基团电负性和极性基断面尺寸有关。深入研究药剂的捕收性判据和选择性判据将有助于指导组合用药。
4结论
(1)碳链长度影响浮选药剂的疏水性,但几乎不影响价键特性,当碳链长度大于捕收剂要求的最短碳链长度时,碳链长度相差越大,组合药剂浮选效果越好,协同效应越明显。碳链不饱和度影响药剂的价键特性和疏水性,不饱和度相差越大,价键特性和疏水性差别越大,碳链长度相同而饱和度不同的捕收剂组合使用,饱和度相差较大浮选效果较好,协同效应越明显。
(2)不具有捕收性或捕收性较弱的乳化剂也影响浮选效果,热力学计算和浮选试验表明,乳化剂使溶液表面张力下降越大,浮选效果越好。浮选效果与疏水链-疏水链相互作用强度密切相关。
(3)组合药剂的浮选效果与药剂结构参数,如基团电负性、量子化学参数、空间几何大小等有关,也与表面活性剂的物理化学性质,如CMC值和表面张力有关。研究组合药剂的协同效应应同时研究浮选药剂结构性能和表面活性剂的物理化学性质。

