合作客户/
拜耳公司 |
同济大学 |
联合大学 |
美国保洁 |
美国强生 |
瑞士罗氏 |
相关新闻Info
-
> 双子型起泡剂ULT-1的分子结构式、表面张力、抗温/抗盐性能及煤样润湿性变化——结果与讨论、结论
> 不同OFP含量的FPUA光固化涂层合成及表面性能研究
> 高盐油藏下两性/阴离子表面活性剂协同获得油水超低界面张力的方法(三)
> 不同温度下可溶解聚乙二醇低共熔溶剂的密度、电导率、表面张力等性质(二)
> LB膜制备方法与注意事项
> 煤油的界面张力多少合适,煤油表面张力与温度对照表
> 多频超声波技术&人工神经网络构建变压器油界面张力预测模型(二)
> 基于药液表面张力测定估算苹果树最大施药液量的方法(三)
> 过硫酸钾、K2S2O8对压裂液破胶性能与表面张力的影响——实验部分
> pH对马来松香MPA与纳米Al2O3颗粒形成的Pickering乳液类型、表/界面张力影响(三)
推荐新闻Info
-
> 耐擦刮无胶消光膜制备方法、高表面张力与收解卷顺畅性的平衡(二)
> 耐擦刮无胶消光膜制备方法、高表面张力与收解卷顺畅性的平衡(一)
> 利用超微量天平制备微孔淀粉处理含Cu(II)离子染料废水
> 不同类型的碱、pH值对孤东油田原油界面张力的影响(下)
> 不同类型的碱、pH值对孤东油田原油界面张力的影响(上)
> 不同结晶结构的脂肪晶体颗粒界面自组装行为、储藏稳定性研究
> 新型POSS基杂化泡沫稳定剂表面张力测定及对泡沫压缩性能的影响(三)
> 新型POSS基杂化泡沫稳定剂表面张力测定及对泡沫压缩性能的影响(二)
> 新型POSS基杂化泡沫稳定剂表面张力测定及对泡沫压缩性能的影响(一)
> 多功能膜材研发:界面张力已成为整套工艺链协同下动态演化的核心控制点
不同温度和压力对AOT稳定CO2乳液的界面张力影响(二)
来源:中国石油大学学报(自然科学版) 浏览 776 次 发布时间:2025-02-06
2实验结果分析
2.1体系界面流变性
2.1.1 CO2乳液体系界面张力实验
表面活性剂水溶液的密度与纯水体系相近,其密度根据饱和水蒸气温度-压力-密度-热力学参数对照表确定,CO2密度与压力温度的关系见图3。
图3不同温度下CO2压力随温度的变化
表面活性剂水溶液液滴在CO2中的形状随温度变化较小,随压力变化关系见图4。
图4液滴形状随压力的变化
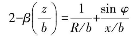
悬滴法测定液体的表面和界面张力原理见图5。其中,de为悬滴最大直径;d10为离顶点距离为de处悬滴截面直径。
(1)
式中,b为悬滴底端(轴x)的曲率半径;R为悬滴轮廓上一点p(x,z)在纸平面上的主曲率半径;φ为轮廓线上p(x,z)点处的切线与x轴的夹角;β为体系的Bond number,称为液滴的形状因子,因为它的值直接决定了液滴的形状。
(2)
γ=Δρgα2.
(3)
式中,Δρ为液滴相与周围相之间的密度差;g为重力加速度;γ为表面/界面张力;α为体系的毛细管常数。
一个悬滴在达到静力(界面张力对重力)平衡时,其轮廓可通过悬滴底端的曲率半径b和液滴的形状因子β来确定。TRACKER-H型界面流变仪就是利用该原理对图像进行计算处理得出界面相关参数。
(1)压力对界面张力的影响。压力对界面张力的影响见图6。可以看出,CO2-AOT体系的界面张力随着压力的升高逐渐降低,约在8 MPa时体系界面张力开始达到最低,之后压力继续升高,体系界面张力趋于稳定。原因在于压力的升高会导致CO2-AOT两相的密度差减小,有利于体系界面张力的降低;同时高压使得AOT在CO2中的溶解度增加,使得CO2在两相界面上吸引更多的表面活性剂分子,有利于表面活性剂降低界面张力。当压力增加到8 MPa时,此时压力继续增加,两相的密度差和CO2的溶解度系数均增加缓慢,导致界面张力趋于稳定。
图5悬点法测定界面张力示意图
图6不同温度下压力对平衡界面张力的影响
(2)温度对界面张力的影响。温度对界面张力的影响见图6。可以看出,当体系压力一定,体系界面张力随着温度的升高而增大,说明温度的升高不利于体系界面张力的降低。原因在于CO2乳液是热力学不稳定体系,随着温度的升高,CO2本身的溶解度系数和密度均有所降低,分子热运动的加剧也不利于界面上AOT分子的吸附,导致界面处的AOT分子数目降低,最终导致体系界面张力升高。
2.1.2 CO2乳液体系界面黏弹性实验
乳液的稳定性很大程度上取决于界面膜的性质,而界面黏弹性是表征界面膜机械强度的重要参数,通常用界面扩张模量(ε)表征界面黏弹性的强弱,定义为界面张力变化与相对界面面积变化的比值,即
ε=dγ/dlnA(4)
式中,γ为界面张力;A为界面面积。
(1)压力对界面黏弹性的影响。压力对CO2-AOT水溶液体系扩张模量的影响见图7。界面的扩张模量与实验的振荡频率有关,实验选取0.1 Hz为振荡频率,振荡频率在实验过程中保持不变,排出振荡频率的影响。可以看出,CO2-AOT水溶液体系扩张模量随着压力的增加而增大,当压力升高至8 MPa后体系的扩张模量趋于稳定。这是因为压力的增加会导致CO2-AOT界面处的黏度增加,流体变稠,界面面积的变化需要更大的力;同时压力升高导致CO2的密度增加,范德华力增加,对界面处的AOT分子有更大的吸引力,使得AOT分子在界面处更紧密的排列,使得界面黏弹性大大增加,但是压力升高至8 MPa后,压力的升高使流体变稠的能力减弱,扩张模量趋于稳定。
图7不同温度下扩张模量随压力的变化关系
(2)温度对界面黏弹性的影响。从图7也可得出温度对CO2-AOT水溶液体系扩张模量的影响规律。CO2-AOT水溶液体系的扩张模量随着温度的升高逐渐降低,说明升高温度对体系界面黏弹性具有不利影响。其机制在于温度升高使得CO2对界面处AOT分子的吸引力减弱,不利于AOT分子在界面处的排列,也不利于AOT分子在界面处的吸附,从而导致界面扩张模量降低,界面膜的强度下降。

