合作客户/
拜耳公司 |
同济大学 |
联合大学 |
美国保洁 |
美国强生 |
瑞士罗氏 |
相关新闻Info
-
> 双子型起泡剂ULT-1的分子结构式、表面张力、抗温/抗盐性能及煤样润湿性变化——结果与讨论、结论
> 不同OFP含量的FPUA光固化涂层合成及表面性能研究
> 高盐油藏下两性/阴离子表面活性剂协同获得油水超低界面张力的方法(三)
> 不同温度下可溶解聚乙二醇低共熔溶剂的密度、电导率、表面张力等性质(二)
> LB膜制备方法与注意事项
> 煤油的界面张力多少合适,煤油表面张力与温度对照表
> 多频超声波技术&人工神经网络构建变压器油界面张力预测模型(二)
> 基于药液表面张力测定估算苹果树最大施药液量的方法(三)
> 过硫酸钾、K2S2O8对压裂液破胶性能与表面张力的影响——实验部分
> pH对马来松香MPA与纳米Al2O3颗粒形成的Pickering乳液类型、表/界面张力影响(三)
推荐新闻Info
-
> 耐擦刮无胶消光膜制备方法、高表面张力与收解卷顺畅性的平衡(二)
> 耐擦刮无胶消光膜制备方法、高表面张力与收解卷顺畅性的平衡(一)
> 利用超微量天平制备微孔淀粉处理含Cu(II)离子染料废水
> 不同类型的碱、pH值对孤东油田原油界面张力的影响(下)
> 不同类型的碱、pH值对孤东油田原油界面张力的影响(上)
> 不同结晶结构的脂肪晶体颗粒界面自组装行为、储藏稳定性研究
> 新型POSS基杂化泡沫稳定剂表面张力测定及对泡沫压缩性能的影响(三)
> 新型POSS基杂化泡沫稳定剂表面张力测定及对泡沫压缩性能的影响(二)
> 新型POSS基杂化泡沫稳定剂表面张力测定及对泡沫压缩性能的影响(一)
> 多功能膜材研发:界面张力已成为整套工艺链协同下动态演化的核心控制点
裂缝性水封气藏解封过程中润湿反转剂浓度、气水界面张力变化(二)
来源:天然气工业 浏览 802 次 发布时间:2025-02-07
2裂缝性水封气藏解封孔隙尺度模拟
在明确储层物性、润湿性、水封程度、裂缝压力对解封压差影响规律的基础上,建立裂缝性水封气藏解封的微观排水孔隙尺度模型,研究壁面润湿性、气水界面张力和裂缝压力对微观气驱排水和解封效率的影响规律,揭示解封过程的微观排水作用机制。
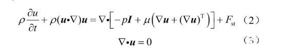
2.1控制方程
在计算流体力学中,控制方程是描述流体运动的基本数学方程。控制方程主要包括动量守恒方程(N—S方程)和质量守恒方程(连续性方程),如下所示[36]:
式中ρ表示流体密度,kg/m3;u表示速度矢量,m/s;p表示压力,Pa;I表示单位矩阵;μ表示流体的动力黏度,mPa·s;Fst表示气水两相的界面张力,N/m。
2.2界面追踪方程
为更准确地模拟微观排水过程的气水两相流动行为,通过N—S方程和质量守恒方程描述多相流体流动机制,同时耦合关于相变量的界面追踪法(水平集法、流体体积法、相场法等)追踪气水界面。本文采用水平集方法,该方法可以在固定网格上进行数值计算,大幅降低计算复杂度。在气水两相流中,引入水平集函数(φ)来定义各自的体积分数,用来描述具有一定厚度的相界面,它是一个从0到1呈梯度变化的值,其中φ=0表示流体为气相,φ=1表示流体为水相,取φ=0.5的等值面作为相界面。水平集方法相变量的演化方程如式(4)所示,描述了微观排水过程的气水界面变化[37-38]。
式描述相界面的移动,其中表示时间的积累项,表示对流项,φ表示水平集函数;γ表示水平集函数重新初始化参数,m/s;ε表示界面厚度参数,m。
计算域内气水两相流体的全局密度和动力黏度,以满足水平集函数的平滑阶跃特性[39]:
式中ρw、ρg分别表示水、气的密度,kg/m3;μw、μg分别是水、气的黏度,mPa·s。
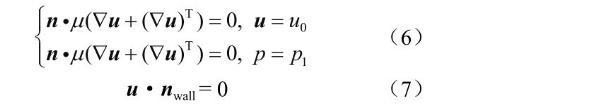
2.3边界与初始条件
气水两相微观渗流仿真中,提出以下假设条件:初始化状态下孔隙域内全饱和为水相;左端入口面为气相,满足定流边界条件,右端出口面为定压边界条件,入口和出口处的初始状态方程如式(6)所示;四周为封闭边界,无流体通过,封闭壁面的边界条件如式(7)所示[36,40]。
式中n表示固体壁面的单位法向量;u0表示入口处的速度,m/s;p1表示出口处的压力,Pa,nwall表示封闭边界的单位法向量。
2.4模型建立
采用物理场数值模拟方法建立水封气藏解封预测模型,研究气体驱动排水过程中储层孔隙内的气水两相渗流机制。首先,提出储层真实孔隙模型建立方法:基于CT扫描技术对岩心柱进行精细成像,通过图像处理技术获得其灰度图像;经过降噪、滤波、二值化等步骤,运用Avizo软件构建出高精度的3D立体真实孔隙模型;然后,从模型中提取典型的孔喉结构(直径143µm,长度400µm的圆柱体,与实验岩心尺寸比例一致),导入COMSOL Multiphysics软件以构建基础模型。最后,通过模拟实验实时追踪气水两相界面的动态变化,探究气水两相渗流特征查明影响气驱排水效果的关键因素,如注入速度、岩石壁面润湿性、气水界面张力和出口端压力等,揭示气驱排水过程的微观两相渗流机理。

