合作客户/
拜耳公司 |
同济大学 |
联合大学 |
美国保洁 |
美国强生 |
瑞士罗氏 |
相关新闻Info
-
> 双子型起泡剂ULT-1的分子结构式、表面张力、抗温/抗盐性能及煤样润湿性变化——结果与讨论、结论
> 不同OFP含量的FPUA光固化涂层合成及表面性能研究
> 高盐油藏下两性/阴离子表面活性剂协同获得油水超低界面张力的方法(三)
> 不同温度下可溶解聚乙二醇低共熔溶剂的密度、电导率、表面张力等性质(二)
> LB膜制备方法与注意事项
> 煤油的界面张力多少合适,煤油表面张力与温度对照表
> 多频超声波技术&人工神经网络构建变压器油界面张力预测模型(二)
> 基于药液表面张力测定估算苹果树最大施药液量的方法(三)
> 过硫酸钾、K2S2O8对压裂液破胶性能与表面张力的影响——实验部分
> pH对马来松香MPA与纳米Al2O3颗粒形成的Pickering乳液类型、表/界面张力影响(三)
推荐新闻Info
-
> 耐擦刮无胶消光膜制备方法、高表面张力与收解卷顺畅性的平衡(二)
> 耐擦刮无胶消光膜制备方法、高表面张力与收解卷顺畅性的平衡(一)
> 利用超微量天平制备微孔淀粉处理含Cu(II)离子染料废水
> 不同类型的碱、pH值对孤东油田原油界面张力的影响(下)
> 不同类型的碱、pH值对孤东油田原油界面张力的影响(上)
> 不同结晶结构的脂肪晶体颗粒界面自组装行为、储藏稳定性研究
> 新型POSS基杂化泡沫稳定剂表面张力测定及对泡沫压缩性能的影响(三)
> 新型POSS基杂化泡沫稳定剂表面张力测定及对泡沫压缩性能的影响(二)
> 新型POSS基杂化泡沫稳定剂表面张力测定及对泡沫压缩性能的影响(一)
> 多功能膜材研发:界面张力已成为整套工艺链协同下动态演化的核心控制点
3种反应型阳离子Gemini表面活性剂合成、表征和性能测试(上)
来源:化工进展 浏览 1012 次 发布时间:2025-02-08
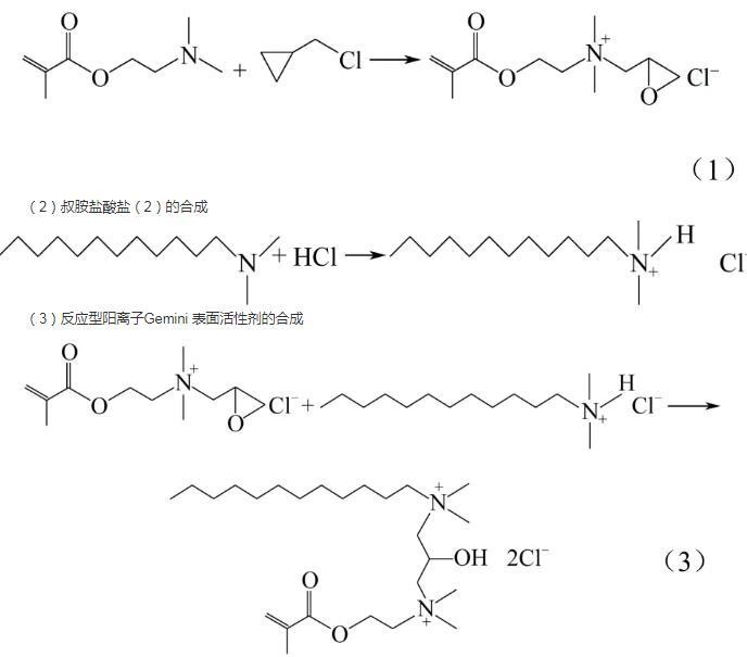
Gemini表面活性剂[1-2],通过化学键将两个常规单链表面活性剂联接在一起,降低离子头基间的静电斥力,使得表面活性剂在溶液中形成气/液界面吸附层和在体相中聚集体分子的有序组织更加紧密的排列。因此比常规表面活性剂具有更高的表/界面活性、低的临界胶束浓度、良好的水溶性及独特的流变性等[2-4],故广泛用于油气开采、化学化工、纳米材料、生物技术、日用化学等各个方面[5-7]。近年来Gemini表面活性剂发展迅速,已引起研究者的广泛兴趣和研究[8-10],同时如何实现表面活性剂的多功能化更是其发展的重要方向之一[11-14]。本文采用甲基丙烯酸二甲氨基乙酯(DM)、环氧氯丙烷(ECH)和3种长链烷基叔胺为主要原料,合成了3种反应型阳离子Gemini表面活性剂,即将羟基和碳碳双键同时引入到不对称Gemini表面活性剂分子结构中使其带有反应基团,可在乳液聚合、表面吸附、相转移催化等领域具有潜在的优势和应用前景。
1实验部分
1.1主要试剂和仪器
十二烷基二甲基叔胺、十四烷基二甲基叔胺、十六烷基二甲基叔胺,上海金山经纬化工有限公司,工业品(含量>98%);甲基丙烯酸二甲氨基乙酯(DM)、环氧氯丙烷(ECH),化学纯;浓盐酸(36.5%)、异丙醇,化学纯,国药集团化学试剂有限公司。
傅里叶变换红外光谱仪,VECTOR-22型,德国Bruker公司;核磁共振仪,ADVANCEIII 400MHz型,德国Bruker公司;元素分析仪,Vario ELⅢ型,德国Elemeraor公司;表面界面18luck国际,新利18澳门公司。
1.2反应原理(以合成C12-3(OH)-DM为例)
(1)环氧丙基季铵盐(1)的合成
(2)叔胺盐酸盐(2)的合成
(3)反应型阳离子Gemini表面活性剂的合成
1.3合成步骤
1.3.1环氧丙基季铵盐(1)的合成
在装有电动搅拌装置、恒压滴液漏斗和回流冷凝器的三口烧瓶中加入0.05mol DM和15mL异丙醇溶剂,放入60℃恒温水浴锅中,搅拌均匀后,开始滴加0.065mol ECH,约30min滴完,继续反应4h,用莫尔法测其反应转化率,反应结束后立即减压旋转蒸馏除去溶剂和过量环氧氯丙烷,用乙酸乙酯和乙醇以体积比7∶3的混合液进行重结晶,重复3次,真空干燥,得淡黄色膏状环氧丙基季铵盐中间体(1)9.28g,供第三步使用[15-16]。
1.3.2叔胺盐酸盐(2)的合成
在三口烧瓶中加入0.05mol长链烷基叔胺(分别为十二叔胺、十四叔胺、十六叔胺),室温搅拌下,开始滴加0.054mol的18%盐酸溶液,约30min滴完,继续反应30min,反应结束后立即减压抽滤,用丙酮冲洗产物,洗涤3~5次,真空干燥,得白色叔胺盐酸盐固状中间体(2)质量分别为12.08g、13.56g、14.90g,供第3步使用。
1.3.3反应型阳离子Gemini表面活性剂的合成
将上步产物中间体(1)和中间体(2)各取0.05mol一起加入三口烧瓶中,用去离子水作溶剂,温度控制在75℃,反应时间4h。产物经减压旋转蒸馏,粗产物用乙酸乙酯进行重结晶,重复3~5次,真空干燥,分别得到淡黄色反应型阳离子Gemini表面活性剂C12-3(OH)-DM、C14-3(OH)-DM和C16-3(OH)-DM,质量分别为20.92g、22.32g、23.71g。
1.4表征和性能测试
1.4.1目标产物的结构表征
使用德国Bruker公司VECTOR-22型傅里叶变换红外光谱仪测定红外光谱,用KBr压片法制样,扫描范围为4000~400cm-1。
使用德国Elemeraor公司Vario ELⅢ型元素分析仪测定化合物中C、H和N的含量,样品量为2.0~3.0mg(天平精度为l/100000)。
使用德国Bruker公司ADVANCEIII 400MHz型核磁共振波谱仪测定核磁共振氢谱,内标为四甲基硅烷(TMS),溶剂为重水。
1.4.2表面性能
采用新利18澳门公司全自动高通量表面18luck国际,测试温度20℃±0.5℃,使用吊片法测定3种合成产物在不同浓度下的表面性能[17-19]。
1.4.3泡沫性能
采用试管振荡法[20-23]测定表面活性剂的泡沫性能:20℃下,在250mL具塞刻度试管中加入50mL已配好的0.5%的表面活性剂溶液,用力振荡25次,静置,记录不同时间点泡沫和液体在试管中的体积高度。
1.4.4乳化性能
采用量筒法[19,24-27]进行乳化力的测定:用移液管准确量取40mL 0.5%的表面活性剂溶液放入有玻璃塞子的量筒内,再移取40mL氯仿,用力捏紧玻璃塞,上下猛烈振动10下,静置1min;如此重复3次。立即用秒表记录时间,此时水油两相逐渐分开,水相慢慢出现,至水相分出5mL和10mL时,记录分出水的时间。重复操作3次,取平均值。

