合作客户/
拜耳公司 |
同济大学 |
联合大学 |
美国保洁 |
美国强生 |
瑞士罗氏 |
相关新闻Info
-
> 双子型起泡剂ULT-1的分子结构式、表面张力、抗温/抗盐性能及煤样润湿性变化——结果与讨论、结论
> 不同OFP含量的FPUA光固化涂层合成及表面性能研究
> 高盐油藏下两性/阴离子表面活性剂协同获得油水超低界面张力的方法(三)
> 不同温度下可溶解聚乙二醇低共熔溶剂的密度、电导率、表面张力等性质(二)
> LB膜制备方法与注意事项
> 煤油的界面张力多少合适,煤油表面张力与温度对照表
> 多频超声波技术&人工神经网络构建变压器油界面张力预测模型(二)
> 基于药液表面张力测定估算苹果树最大施药液量的方法(三)
> 过硫酸钾、K2S2O8对压裂液破胶性能与表面张力的影响——实验部分
> pH对马来松香MPA与纳米Al2O3颗粒形成的Pickering乳液类型、表/界面张力影响(三)
推荐新闻Info
-
> 耐擦刮无胶消光膜制备方法、高表面张力与收解卷顺畅性的平衡(二)
> 耐擦刮无胶消光膜制备方法、高表面张力与收解卷顺畅性的平衡(一)
> 利用超微量天平制备微孔淀粉处理含Cu(II)离子染料废水
> 不同类型的碱、pH值对孤东油田原油界面张力的影响(下)
> 不同类型的碱、pH值对孤东油田原油界面张力的影响(上)
> 不同结晶结构的脂肪晶体颗粒界面自组装行为、储藏稳定性研究
> 新型POSS基杂化泡沫稳定剂表面张力测定及对泡沫压缩性能的影响(三)
> 新型POSS基杂化泡沫稳定剂表面张力测定及对泡沫压缩性能的影响(二)
> 新型POSS基杂化泡沫稳定剂表面张力测定及对泡沫压缩性能的影响(一)
> 多功能膜材研发:界面张力已成为整套工艺链协同下动态演化的核心控制点
非-阴离子型醇醚磺酸盐表面活性剂降低魏岗原油的表面张力(二)
来源:精细石油化工 浏览 370 次 发布时间:2025-06-20
2.2阴离子与非离子表面活性剂混合溶液的相互作用参数
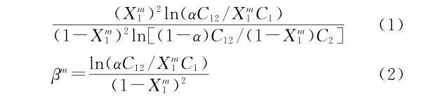
两种单一表面活性剂混合后会产生相互作用,使得表面活性剂分子在界面上排列更为紧密,表面/界面活性提高,混合胶束也更容易形成。这种相互作用的程度可以通过计算相互作用参数来确定。根据正规溶液理论,Rubingh、Rosen等给出了非理想溶液混合物胶束模型方程用以计算表面活性剂之间的相互作用参数βm。
根据单一表面活性剂以及不同混合比下的CMC,采用公式(1)~(3)计算混合表面活性剂溶液胶团热力学参数,结果见表2。图2和图3分别给出了2种表面活性剂在不同混合比下实际混合和理性混合时胶束浓度以及AEO3S在胶束中的摩尔分数的变化。
表2 AEO3S与LDA混合体系热力学参数计算
图2混合溶液中AEO3S摩尔分数对表面张力的影响
图3溶液中AEO3S摩尔分数与胶束中的摩尔分数关系
由图2可知,实际混合物的CMC比理想混合物的CMC值低,说明AEO3S与LDA的相互作用导致二元混合物的非理想行为。当混合比m(AEOS)∶m(LDA)为1∶2 ~ 4∶1时,AEOS在溶液中摩尔分数从0.23变化到0.7,相互作用参数βm在-1.2~-2.7之间变化。一般来说,βm反映了混合体系中2个表面活性剂组分在胶束中分子相互作用程度,负的程度越大,相互作用程度越强。β值的正负表明相互作用的类型,βm>0时,表示二组分之间有相互疏远、排斥的作用。βm<0时,表示混合体系内二组分之间有相互吸引作用,β绝对值的大小则反映出相互作用的程度,|βm|<3说明分子间相互作用较弱。说明分子间存在强烈的相互作用;3<|βm|<10说明分子间存在中等相互作用。由此可见,醇醚磺酸盐阴离子表面活性剂AEO3S与非离子表面活性剂LDA在盐水介质中的相互作用程度较弱。另外,二元体系产生协同作用的必须满足两个条件[17]:(1)βm<0;(2)|βm|>|ln(C1/C2)|。由表2中实验数据知AEO3S与LDA混合溶液的热力学参数均满足两个条件,说明二者具有降低CMC的协同作用。
2.3表面活性剂配比以及聚合物对界面活性的影响
采用地层模拟水配制表面活性剂溶液浓度为0.3%,实验探讨了70℃表面活性剂配比对界面张力的影响,实验结果见图4。
图4 AEO3S-LDA体系与魏岗原油的界面张力
由图4可以看出,单一表面活性剂AEO3S与LDA同魏岗原油的界面张力均在10-1mN/m数量级,当改变混合表面活性剂溶液中AEO3S与LDA质量比为2∶3时,界面张力为0.003 14 mN/m,当质量比为1∶1时界面张力为0.005 23 mN/m,也就是说含有40%~50%AEO3S的混合表面活性剂溶液的界面张力均可达到超低界面张力(10-3mN/m数量级),其他混合比时溶液的界面张力均在10-2mN/m数量级,这就表明AEO3S与LDA具有较好降低界面张力的协同作用。这是由于单一阴离子表面活性剂在油水界面排列时AEO3S分子负离子(—SO3—)基团之间存在着斥力影响了分子排列紧密程度,当加入非离子表面活性剂LDA后,LDA分子插入阴离子表面活性剂AEO3S之间,使得原来的AEO3S离子头—磺酸基团之间的电性斥力减弱,油水界面电荷密度减少,分子间排列紧密程度增加,使得油水界面张力大幅下降。
为方便后续实验的描述,将具有较高界面活性的40%AEO3S+60%LDA体系命名为LDAS驱油用复配表面活性剂。
2.4复配表面活性剂浓度对界面张力的影响
由于表面活性剂降低油水界面张力,可提高驱替相的洗油效率,而水溶性聚合物可以提高驱替流体的黏度,进而降低水油流度比,从而使驱油剂具有更大的波及体积[18-19]。因此,常常将表面活性剂与聚合物复配构成二元驱油体系用于提高石油采收率。
实验固定聚合物浓度0.12%HPAM,改变LDAS用量,70℃下测试驱油体系与原油之间的界面张力,实验结果见图5。
图5 LDAS浓度与界面张力的关系
由图5可知,无论溶液有无聚合物存在,随着复配表面活性剂LDAS浓度的增加界面张力呈现先下降而后略有增加的现象。无聚合物时,活性剂LDAS浓度在0.1%~0.4%时界面张力均处于超低界面张力范围;加入0.12%HPAM后,油水界面张力略有上升,但0.2%和0.3%LDAS溶液与魏岗原油间的界面张力仍然很低,分别为0.003 8 mN/m和0.004 5 mN/m,表明复配表面活性剂体系具有很高的界面活性。
3结论
a.醇醚磺酸盐AEO3S和月桂酸二乙醇胺(LDA)在地层水中的CMC分别为0.131和0.26 mmol/L,表面张力分别为37.3和30.25 mN/m,两者混合后溶液的CMC和表面张力均下降,表明两种表面活性剂的复配有利于降低混合溶液的临界胶束浓度和表面张力,活性提高。
b.AEO3S与LDA的复配体系在形成胶束上表现出一定协同作用,AEO3S更易于进入混合胶束中。两者质量比为1∶2和2∶3时相互作用参数最大,CMC和表面张力(γCMC)都较低。
c.以魏岗原油作为內相测试了混合表面活性剂体系的界面活性,复配体系40%~50%AEO3S+60%~50%LDA的界面张力达到10-3mN/m数量级,比单一表面活性剂的界面张力高出2个数量级,表现出良好的界面活性。
d.当m(AEO3S)∶m(LDA)=2∶3时,在0.12%HPAM存在下,0.2%~0.4%复配表面活性剂可以使油水界面张力降到超低值,可用于高凝原油的驱油。

