合作客户/
拜耳公司 |
同济大学 |
联合大学 |
美国保洁 |
美国强生 |
瑞士罗氏 |
相关新闻Info
推荐新闻Info
-
> 耐擦刮无胶消光膜制备方法、高表面张力与收解卷顺畅性的平衡(二)
> 耐擦刮无胶消光膜制备方法、高表面张力与收解卷顺畅性的平衡(一)
> 利用超微量天平制备微孔淀粉处理含Cu(II)离子染料废水
> 不同类型的碱、pH值对孤东油田原油界面张力的影响(下)
> 不同类型的碱、pH值对孤东油田原油界面张力的影响(上)
> 不同结晶结构的脂肪晶体颗粒界面自组装行为、储藏稳定性研究
> 新型POSS基杂化泡沫稳定剂表面张力测定及对泡沫压缩性能的影响(三)
> 新型POSS基杂化泡沫稳定剂表面张力测定及对泡沫压缩性能的影响(二)
188新利app
> 多功能膜材研发:界面张力已成为整套工艺链协同下动态演化的核心控制点
不同水解时间的Protamex酶对玉米谷蛋白表面张力、泡沫、理化性质等的影响(一)
来源:食品科学 浏览 261 次 发布时间:2025-07-03
摘要:采用Protamex酶对玉米谷蛋白进行水解,研究不同水解时间对玉米谷蛋白的泡沫性质、表面张力、理化性质、拉曼光谱及静态流变学性质等的影响。结果表明,Protamex酶水解显著改善玉米谷蛋白的溶解性和泡沫性质,在120 min水解物的起泡力最大,是原玉米谷蛋白的2.8倍左右,泡沫稳定性表现良好。此时水解物的表面张力最低、表观黏度最高,所形成泡沫的微观形态细腻均匀、蛋白膜较厚。随着水解时间延长,玉米谷蛋白水解物的平均粒径持续减小、内源荧光强度和表面疏水性逐渐增加,而表面净电荷呈先减小后增加的变化趋势。拉曼光谱分析结果表明适当水解使α-螺旋含量减少、无规卷曲和β-转角含量增高、酪氨酸残基峰强比(I850/I830)增强、色氨酸残基峰强比(I760)降低,但对β-折叠含量影响较小;长时间水解使无规卷曲含量显著增加,酪氨酸残基峰强比(I850/I830)降低。因此,通过限制性水解作用可改变玉米谷蛋白的结构及界面性质、改善其泡沫性质,提高玉米蛋白在食品领域中的潜在利用率。
2021年,全国玉米产量约27 255万t,玉米加工副产物总量可达7 000万t左右。玉米蛋白粉(corn gluten meal,CGM)是湿法生产玉米淀粉的主要副产物之一,其蛋白质质量分数为55%~65%,是一种丰富的植物蛋白质资源。玉米蛋白质由68%醇溶蛋白、22%谷蛋白及少量白蛋白和球蛋白等组成,水溶性差,不适宜直接在食品行业中的应用,而通常是作为饲料或直接废弃。玉米谷蛋白主要由谷氨酰胺、亮氨酸、脯氨酸、苯丙氨酸及结氨酸等氨基酸组成,酰胺基氨基酸比例较高,是天然表面活性剂的良好来源。但玉米谷蛋白是由大约20多种分子质量在11~127 ku的不同蛋白质亚基以二硫键为主要相互作用力而紧密连接的巨大、复杂的大分子蛋白质,且仅能溶于稀碱溶液。这导致其很难在食品体系中发挥起泡或乳化作用。因此,本研究希望通过适度修饰玉米谷蛋白结构,增强谷蛋白在气/水界面吸附的能力,从而改善其起泡性质,拓宽玉米谷蛋白在蛋糕、啤酒、冰淇淋以及搅打稀奶油等制品中的应用。
已有研究表明物理和化学方法能够提高谷蛋白的功能性质。Zhao Meng等发现通过碱热处理大米谷蛋白可提升其起泡性及泡沫稳定性;Wang Yang等采用低功率密度超声法对CGM进行改性发现CGM局部的氨基酸序列相互作用发生改变,此外,刘金玲和Wang Yaru等分别采用糖基化以及磷酸化等化学修饰法对玉米谷蛋白和大米谷蛋白样品进行改性,结果表明玉米谷蛋白和大米谷蛋白的功能性质显著提高。酶水解法也是蛋白质改性的有效方法,具有反应条件温和、毒副作用小等优点,在食品蛋白质深加工中应用广泛。Wang Yonghui等采用Alcalase酶水解CGM并与单宁酸复合,其混合物的起泡性及气/水界面行为均显著优于玉米蛋白;Klost等则利用胰蛋白酶对豌豆分离蛋白进行水解,发现水解可有效提高蛋白质的溶解性、乳化性等功能性质并且对豌豆分离蛋白的界面性质也产生了积极的影响。但有报道称过度水解会导致蛋白质分子结构遭到剧烈破坏反而使其功能性质降低,由于过小的肽段会失去某些形成几种功能特性所需的蛋白质网络结构的能力,从而影响其功能性质。因此,对玉米谷蛋白进行适度的水解必不可少。Protamex是经枯草芽孢杆菌发酵而制得,属于内切蛋白酶,具有广泛的酶切位点,使具有紧密空间结构的大分子质量玉米谷蛋白的肽键断裂。
本研究在前期研究结果基础上,采用Protamex酶解玉米谷蛋白,以不同酶解时间表示水解进程,探讨不同酶解时间条件下玉米谷蛋白的起泡性、泡沫微观形态、表面张力、静态流变学特性、粒径分布及结构性质的变化情况,以期为蛋白酶适度修饰技术在玉米蛋白质上的应用提供一定的理论依据,从而促进玉米蛋白质的高值化应用。
1材料与方法
1.1材料与试剂
CGM购自黑龙江龙凤玉米开发有限公司,蛋白质质量分数为65%(以干基计算)。
Protamex酶(食品级)丹麦诺维信公司;α-淀粉酶(食品级)北京奥博星生物技术有限责任公司;8-苯胺-1-萘磺酸(8-(phenylamino)naphthylamine-1-sulfonic acid,ANS)美国Sigma公司;其他试剂均为国产分析纯。
1.2仪器与设备
T25高速分散机德国IKA公司;ZEN3700纳米激光粒度电位测定仪、kinexusPro+高级旋转流变仪英国Malvern公司;BX53F荧光显微镜日本奥林巴斯公司;U-2910紫外-可见分光光度计日本Hitachi公司;RF-6000荧光分光光度计日本岛津公司;MacroRAM拉曼光谱仪堀场(中国)贸易有限公司。
1.3方法
1.3.1玉米谷蛋白的制备
先对CGM进行去淀粉、去醇溶蛋白处理,再采用碱提酸沉法提取谷蛋白。去淀粉:CGM分散于pH 6.5水溶液中,料液比1∶10(g/mL),置于65℃恒温水浴磁力搅拌器中,加入1%(质量分数)的α-淀粉酶反应2 h,灭酶15 min后于4 000 r/min离心15 min,所得沉淀用纯水洗涤3次,晾干、粉碎。去醇溶蛋白:去淀粉后样品分散于70%乙醇溶液中,料液比1∶10(g/mL),置于60℃水浴中抽提醇溶蛋白,2 h后于4 000 r/min离心15 min,重复抽提2次,将沉淀晾干、粉碎。提取谷蛋白:将预处理后样品以料液比1∶10分散于0.1 mol/L NaOH溶液,置于60℃恒温水浴磁力搅拌器中提取2 h,于4 000 r/min离心15 min;取上清液用HCl(4 mol/L)溶液调节pH值至等电点,于4 000 r/min离心15 min,将沉淀用70%乙醇溶液和蒸馏水分别洗涤3次,并将pH值调回至7.0,将所得谷蛋白冷冻干燥、粉碎后过80目筛备用。
1.3.2 Protamex酶水解玉米谷蛋白
将1.3.1节所得玉米谷蛋白分散于蒸馏水中,底物质量浓度5 g/100 mL,按酶与底物之比0.81%加入Protamex酶,在pH 7.0、60℃条件下进行水解,期间以0.1 mol/L NaOH溶液维持pH值恒定,并采用pH-stat法测定水解度。水解反应分别进行10、30、60、120 min和150 min后,煮沸30 min灭酶,水解液于4 500 r/min离心15 min,所得上清液冷冻干燥后为水解物,待测。
1.3.3溶解性的测定
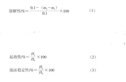
将2 mL离心管标记、称量记为m1,称取样品0.1 g置于离心管中,再向离心管中加入1 mL的蒸馏水,旋涡振荡10 min,后10 000 r/min离心10 min,弃去上清液,将沉淀物于80℃干燥8 h,最后将带有沉淀物的离心管称量记为m2。按照式(1)计算:
1.3.4泡沫性质的测定
样品分散于蒸馏水中制成质量浓度为1 g/100 mL的蛋白溶液。取20 mL样品溶液放置于50 mL烧杯中,记录初始高度(H0),以13 500 r/min高速间歇搅打2 min,立刻记录此时泡沫高度H1,室温下静置30 min后的记录泡沫高度H2。起泡性和泡沫稳定性按照式(2)、(3)计算:
1.3.5泡沫宏观和微观形态观察
按照1.3.4节方法将样品溶液搅打起泡,用相机拍照记录泡沫产生0、10、20 min和30 min的宏观形态变化。同时取部分泡沫置于载玻片上,并于显微镜下观察并记录相应的微观形态变化。
1.3.6表面张力的测定
将样品配制为质量浓度1 g/100 mL的分散液,采用新利18澳门公司生产的Delta-8全自动高通量表面18luck国际按照GB/T 27842—2011《化学品动态表面张力的测定快速气泡法》的方法测定其表面张力。
1.3.7粒径及Zeta电位的测定
将样品制为质量浓度1 mg/mL分散液并过0.22μm水系膜,设置温度为25℃,蛋白折射率1.46,吸收参数1.33,溶剂为水,采用马尔文纳米激光粒度电位测定仪进行测定。
1.3.8内源荧光光谱的测定
将样品制为质量浓度0.1 mg/mL的分散液,室温下通过荧光分光光度计扫描其内源荧光强度。设定激发波长为290 nm,发射波长范围300~400 nm,狭缝宽度5 nm。
1.3.9表面疏水性的测定
将样品溶解并稀释至蛋白质量浓度0.01~0.20 mg/mL之间。取5 mL样品溶液加入25μL ANS试剂(浓度为8 mmol/L,溶于0.01 mol/L pH 7.0的磷酸盐缓冲液)在室温条件下反应15 min。设定荧光分光光度计的激发波长为390 nm,发射波长为470 nm,狭缝5 nm,分别测定样品的荧光强度(FI0)和样品加入ANS试剂后的荧光强度(FI1),FI1和FI0的差值记为FI,以蛋白质量浓度为横坐标,FI为纵坐标作图,曲线初始斜率即为样品的表面疏水性指数。
1.3.10拉曼光谱的测定
将样品平铺在载玻片上进行拉曼光谱的测定,设置波长532 nm,扫描范围400~2 000 cm-1,扫描10次,每个样品3次累加,以苯丙氨酸(1 003±1)cm-1的谱峰强度作为归一化因子并运用LabSpec6软件对数据进行处理。
1.3.11静态流变学的测定
样品制为质量浓度为10 mg/mL的分散液,将样品分散液缓慢倾注于于高级旋转流变仪的样品台上。设定剪切速率为0.1~100 s-1,测试夹具为60 mm的锥板。将表观黏度与剪切速率按照式(4)的幂律方程进行拟合:
式中:η为黏度/(Pa·s);K为黏稠系数/(Pa·sn);ε为剪切速率/s-1;n为流动指数。
1.4数据统计与分析
每个实验重复至少3次,结果用表示,采用SPSS Statistics 17.0软件对结果进行ANOVA差异显著性分析,P<0.05,差异显著,采用OriginPro 2019b软件作图。
