18l18luck新利 Info
合作客户/
拜耳公司 |
同济大学 |
联合大学 |
美国保洁 |
美国强生 |
瑞士罗氏 |
相关新闻Info
推荐新闻Info
-
> 耐擦刮无胶消光膜制备方法、高表面张力与收解卷顺畅性的平衡(二)
> 耐擦刮无胶消光膜制备方法、高表面张力与收解卷顺畅性的平衡(一)
> 利用超微量天平制备微孔淀粉处理含Cu(II)离子染料废水
> 不同类型的碱、pH值对孤东油田原油界面张力的影响(下)
> 不同类型的碱、pH值对孤东油田原油界面张力的影响(上)
> 不同结晶结构的脂肪晶体颗粒界面自组装行为、储藏稳定性研究
> 新型POSS基杂化泡沫稳定剂表面张力测定及对泡沫压缩性能的影响(三)
> 新型POSS基杂化泡沫稳定剂表面张力测定及对泡沫压缩性能的影响(二)
> 新型POSS基杂化泡沫稳定剂表面张力测定及对泡沫压缩性能的影响(一)
> 多功能膜材研发:界面张力已成为整套工艺链协同下动态演化的核心控制点
当前位置:首页 > 18l18luck新利
水和乙二醇-水混合体系中的离子液体-阳离子表面活性剂混合胶束自聚焦-电导法 表面张力法和光谱研究法—
来源:上海谓载 浏览 2084 次 发布时间:2021-12-16
摘要
在纯水和二甘醇(DEG)-水二元混合物存在下,采用电导法、张量法和光谱法研究了咪唑基表面活性离子液体(SAIL)1-癸基-3-甲基咪唑氯化物[C10min][Cl]与阳离子表面活性剂西特里米特(CET)的相互作用。DEG的加入对所研究体系的热力学和聚集行为有显著影响。根据电导法计算了各种参数,如临界胶束浓度(cmc)、组分1的胶束摩尔分数X1(CET)、胶束相互作用参数β、组分1和组分2的活度系数ƒ1和ƒ2(SAIL)、胶束化的标准吉布斯能(ΔGm0),和反离子解离度(g)。鲁宾的非理想溶液理论证实了混合胶束中表面活性剂分子之间的吸引和非理想行为。通过张力测定研究,评估了不同的参数,如表面张力降低效率(pC20)、最大表面过量浓度(Γmax)、每个表面活性剂分子的最小面积(Amin)和界面处吸附ΔGad 0的标准吉布斯自由能。对于纯体系和混合体系,还评估了两亲分子在胶束中的堆积参数P、疏水链的体积贡献v及其有效长度lC。形成的胶束/混合胶束具有球形几何形状。甲酚红是一种阴离子染料,用作纯体系和混合体系紫外-可见光谱的探针,支持SAIL在混合胶束化过程中的作用。
1.介绍
离子液体,特别是室温离子液体,由于其许多独特的性质,包括可忽略的蒸汽压,作为有毒溶剂、电化学的替代品和环境友好的替代品,以及在化学工业中用作反应介质,目前正受到极大的关注[1,2]。离子液体特别是表面活性离子液体(SAIL)在性质上是两亲性的,因为它们的分子中既有亲水部分,也有疏水部分,因此它们表现出良好的表面/界面活性和胶束形成。在许多研究中,传统的表面活性剂与离子液体混合,表面活性剂在这些离子液体中的聚集方式与在水中的聚集方式类似,但存在一些差异。第一个区别是,大多数纯离子液体的表面张力低于纯水的表面张力。第二个区别是,离子液体中表面活性剂的cmc大于纯水中的cmc,原因可能是与纯水中表面活性剂的疏水相互作用相比,离子液体中表面活性剂之间的疏水相互作用较低[3–6]。在一些研究中,水性离子液体被用作表面活性剂溶液的溶剂[7–13]。在大多数研究中,表面活性剂的cmc取决于离子液体的浓度。还观察到,在离子液体浓度较低时,cmc呈下降趋势,而在较高浓度时,cmc表现出增加的行为[8–9]。最近报道了1-烷基-3-甲基咪唑溴化离子液体对大型水蚤的毒性和抗氧化防御系统活性,主要归因于高浓度的离子液体[14]及其在斑马鱼氧化应激和DNA损伤中的作用[15]。同样,也对大鼠的亚慢性毒性进行了研究[16],但只有少数研究报告了毒性作用。
十六烷基三甲基溴化铵是一种阳离子表面活性剂,由三种阳离子表面活性剂(十二烷基、十四烷基和十六烷基三甲基溴化铵)组合而成,其中十四烷基三甲基溴化铵按重量构成混合物的主要组分,并表现为单一表面活性剂。西曲米特有着广泛的应用,最重要的应用包括其作为DNA提取、金纳米颗粒合成和头发调理产品的缓冲液[17]。除此之外,它还被用于大量抗菌活动,因此被用于控制医院、食品加工中的细菌感染,并作为商店和建筑物中藻类控制的有效措施[18]。
表面活性剂的混合对于工业应用非常重要,因为表面活性剂的混合在其物理性质上表现出不同的变化。这些混合系统在分离、去污、泡沫生成和分散技术中有广泛的应用[19,20]。不同的工作人员研究了这些表面活性剂的行为,并通过考虑各种类型的离子/非离子表面活性剂组合,研究了它们在头基团之间可能的相互作用[21–23]。为了预测表面活性剂之间的分子相互作用,不同的研究人员提出了各种模型来预测两种表面活性剂之间的协同作用,其中Clint[24]和Rubingh[25]是最常用的。Clint模型[24]用于计算混合胶束的理想cmc,而Rubingh模型[25]基于正规溶液理论解释了混合系统的非理想性。
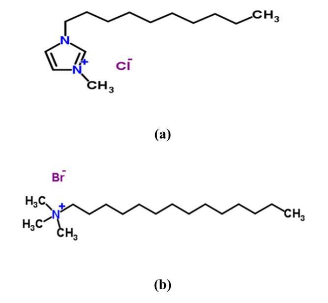
因此,牢记混合表面活性剂的上述优点,已尝试研究阳离子表面活性剂与表面活性离子液体在纯水中以及在二甘醇(DEG)-水二元混合物存在下的混合胶束化,为了进一步了解二甘醇对这些混合体系的影响。所使用的离子液体为1-癸基-3-甲基咪唑氯化物[C10min][Cl],阳离子表面活性剂为十六烷基三胺(CET),阴离子染料为甲酚红(CR)(方案1)。ILs在两相均相催化过程中也有广泛的应用,在这些催化过程中,含有催化剂的一相与含有反应物和产物的第二相完全不混溶。正如我们所知,二甘醇是一种有机溶剂,因此大多数催化反应被认为发生在离子液体和有机溶剂的界面[26]。
方案一.(a)1-癸基-3-甲基咪唑氯化铵(b)三甲基乙酰胺和(c)甲酚红的分子结构。
已经对混合胶束化的热力学以及二元混合物中不同表面活性剂之间的分子相互作用进行了大量研究[27,28]。Hemmateenejad等人[29]研究了1-十二烷基-3-甲基咪唑氯化物[C12mim][Cl]和表面活性剂十二烷基三甲基氯化铵(DTAC),以便使用电导法比较IL和表面活性剂在甲醇-水二元溶剂中的聚集行为,他们发现离子液体[C12mim][Cl]在水和甲醇中形成聚集体,就像DTAC表面活性剂在水和其他介质中形成聚集体一样。选择水二甘醇作为溶剂的动机在于表面活性剂的胶束化主要取决于溶剂的性质,而共溶剂的加入影响溶剂的极性和溶剂的微环境。聚乙二醇(PEG)、甘油、乙二醇、二甘醇和甘油等二醇是非水环境友好型,可用于调节许多咪唑基离子液体的物理化学性质[30]。这些溶剂主要与水混溶,因为它们可以与自身或水分子形成氢键。两亲分子的聚集特性可通过使用有机共溶剂进行调节,因为它们具有不同的性质,即:。,与水相比,低介电常数、低内聚能和相当少的氢键能力[31,32]。在存在有机共溶剂的情况下,烃链的溶剂恐惧性降低,从而延迟聚集过程[33]。

