18l18luck新利 Info
合作客户/
拜耳公司 |
同济大学 |
联合大学 |
美国保洁 |
美国强生 |
瑞士罗氏 |
相关新闻Info
推荐新闻Info
-
> 耐擦刮无胶消光膜制备方法、高表面张力与收解卷顺畅性的平衡(二)
> 耐擦刮无胶消光膜制备方法、高表面张力与收解卷顺畅性的平衡(一)
> 利用超微量天平制备微孔淀粉处理含Cu(II)离子染料废水
> 不同类型的碱、pH值对孤东油田原油界面张力的影响(下)
> 不同类型的碱、pH值对孤东油田原油界面张力的影响(上)
> 不同结晶结构的脂肪晶体颗粒界面自组装行为、储藏稳定性研究
> 新型POSS基杂化泡沫稳定剂表面张力测定及对泡沫压缩性能的影响(三)
> 新型POSS基杂化泡沫稳定剂表面张力测定及对泡沫压缩性能的影响(二)
> 新型POSS基杂化泡沫稳定剂表面张力测定及对泡沫压缩性能的影响(一)
> 多功能膜材研发:界面张力已成为整套工艺链协同下动态演化的核心控制点
当前位置:首页 > 18l18luck新利
α-环糊精对非离子表面活性剂和两性离子表面活性剂混合体系的界面及自组装性质——实验
来源:上海谓载 浏览 1726 次 发布时间:2021-12-22
实验
二甲基十二烷基氨基丙烷磺酸盐(DPS;≥来自Fluka、癸酰-N-甲基葡糖苷(Mega-10;98%纯)、α-CD和RB的99%)(∼收到时使用来自Sigma的95%纯度)。所有溶液均在从电阻率为18.2 MΩcm的Direct-Q微孔系统中获得的Milli-Q水中制备。
方法
使用新利18澳门公司的EZ-PI界面张力计测量界面张力[23]。该仪器配有传感器探头和反应杯支架。将4 ml表面活性剂溶液引入反应杯并放置在反应杯支架上。所有测量均在24.0±1°C下进行。
使用荧光偏振仪系统(Beacon 2000)在25.0±0.2°C下进行所有荧光各向异性测量。RB用作荧光探针,其浓度保持在0.1µM。分别使用570和630 nm的激发和发射波长测量荧光各向异性。当发射偏振器平行或垂直于偏振激发方向时,每个荧光强度称为I||或I┴,分别地各向异性是强度差(I||-I)的比率┴)总强度(I||+2I)┴)如等式1[24,25]所示:
给出的各向异性值是十个读数的平均值。
核磁共振
核磁共振谱记录在BRUKER DRX600核磁共振光谱仪上,该光谱仪在14.1 T的场强下工作。分别在1 mM的Mega-10和DPS溶液中,用小份的α-环糊精滴定,最终浓度分别为64.7和68.1 mM。1D−在每个浓度下记录1H-NMR谱。对于这两种表面活性剂,使用CH3基团的化学位移来跟踪络合物的形成。
在任何给定的α-环糊精浓度下,结合表面活性剂分子的分数都可以通过其信号的化学位移来确定。客体分子在束缚态(δ束缚态)和自由态(δ自由态)有不同的化学位移。在自由形式和束缚形式之间的平衡以及这两种状态之间的交换率(比共振频率差快)的情况下,将仅观察到一个具有观测到的化学位移(δobs)的信号,即δ束缚和δ自由之间的加权平均数。对于以下内容,我们定义了观察到的化学位移变化(∆δobs)和结合时化学位移的变化(∆δ界):
两者之间的比率∆δobs与∆因此,δ束缚态相当于束缚客体分子的摩尔分数:
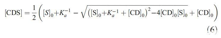
[CDS]可以从关联常数的定义中分离出来:

式中,[CD]f是自由主体分子的浓度,即CD,[S]f是自由客体分子的浓度,即表面活性剂,[CD]是络合物的浓度,即环糊精-表面活性剂络合物。
Ka通过将等式6与[CDS]与[CD]0的实验数据拟合而确定。在式6中,CD0和S0分别为总环糊精和总表面活性剂浓度。
从含有100 mMα-CD和1 mM洗涤剂的溶液中确定δ结合的初始估计值。这是合理的,因为我们滴定的化学位移高达约70 mMα-CD,已接近最终值。δ界的初始值用于拟合Ka的初始值。Ka值随后用于确定δ界的理论值。重复该过程,直到Ka和δ界的值收敛。
在含有50 mMα-CD和50 mM表面活性剂的样品上,获得了混合时间为250 ms的二维旋转框架悬置效应光谱(2D-ROESY)。以(180°×180°)的顺序实现旋转锁定−×)场强为2.5 kHz的脉冲。借助2QF-COSY光谱对CD和表面活性剂共振进行分配。

