18l18luck新利 Info
合作客户/
拜耳公司 |
同济大学 |
联合大学 |
美国保洁 |
美国强生 |
瑞士罗氏 |
相关新闻Info
推荐新闻Info
-
> 耐擦刮无胶消光膜制备方法、高表面张力与收解卷顺畅性的平衡(二)
> 耐擦刮无胶消光膜制备方法、高表面张力与收解卷顺畅性的平衡(一)
> 利用超微量天平制备微孔淀粉处理含Cu(II)离子染料废水
> 不同类型的碱、pH值对孤东油田原油界面张力的影响(下)
> 不同类型的碱、pH值对孤东油田原油界面张力的影响(上)
> 不同结晶结构的脂肪晶体颗粒界面自组装行为、储藏稳定性研究
> 新型POSS基杂化泡沫稳定剂表面张力测定及对泡沫压缩性能的影响(三)
> 新型POSS基杂化泡沫稳定剂表面张力测定及对泡沫压缩性能的影响(二)
> 新型POSS基杂化泡沫稳定剂表面张力测定及对泡沫压缩性能的影响(一)
> 多功能膜材研发:界面张力已成为整套工艺链协同下动态演化的核心控制点
当前位置:首页 > 18l18luck新利
水分子与磷脂分子作用力重建:摘要、介绍、方法
来源:上海谓载 浏览 1934 次 发布时间:2022-02-21
摘要
了解DNA/脂质相互作用的分子机制对于优化脂质辅因子在基因治疗中的应用至关重要。在这里我们通过使用无标签振动和频(VSF)光谱来研究DNA与阳离子脂质DPTAP(1,2-二棕榈酰-3-三甲基铵-丙烷)和二氢14-氨基以及两性离子脂质DPPC(1,2-二棕榈酰-sn-甘油-3-磷酸胆碱)的脂质单层的相互作用来解决这个问题缺钙。我们的方法的优点是既能明确探测分子间的相互作用,又能洞察脂质界面DNA周围的水和脂质结构。通过研究界面D2O的OD延伸,我们发现,含有吸附在阳离子上的DNA的系统和含有吸附在两性离子脂质单层上的DNA的系统(在存在或不存在Ca2+的情况下)的水结构存在显着差异。阳离子体系中界面水的光谱响应与高度结构化、欠协调、结构化的“类型”水一致。此外,通过对双14-酰胺脂尾的CH拉伸模式的研究,我们证明DNA对该脂的吸附导致脂尾的有序性增加。
介绍
控制特定基因转染的能力具有巨大的潜在治疗效益。应对这一挑战的一种方法是使用转基因病毒,也就是借用进化论的解决方案来应对生物物理挑战,即将遗传物质从细胞外、穿过质膜进入细胞核。虽然这种基因转染方法非常有效,但它不仅对特定类型的细胞具有特异性,而且常常会产生意想不到的毒副作用。1-5由于这些原因,在过去的20年里,人们投入了大量精力来合成辅因子,这些辅因子与细胞外的DNA复合,并将其引导至细胞核。由于通用性(适用于多种细胞类型)、效率(需要相对少量的DNA)和无毒性的要求,工程化这些辅因子是一项挑战。
为了理解挑战,有助于考虑这样的辅助因子应该具备的性质。溶液中形成的复合物应在细胞外稳定,并应促进多阴离子DNA与带负电质膜外小叶的相互作用。接下来,在细胞摄取后,复合物应该有助于稳定DNA,直到扩散使其接近细胞核。最后,复合物应足够不稳定,当相对靠近细胞核时,DNA将释放到细胞质中。继15-20年前Felgner等人的开创性研究之后,关于这一挑战的大部分工作都集中在使用阳离子脂质作为络合剂上。选择6,7阳离子脂质是因为它们在溶液中与聚阴离子DNA形成不带正电荷或稍带正电荷的稳定聚集体(脂复合物)。因此,脂复合物通过降低DNA的阴离子性质,从而降低DNA接近质膜的静电屏障,从而满足合成辅助因子的第一个要求。将这种脂复合物的转染效率的体内研究结果与类似复合物的体外结构研究结果进行比较,已阐明跨质膜的基因转移主要通过内吞作用进行,而内体的转移效率是聚集体结构和电荷的函数类脂头型。8-11脂丛结构的体外研究,主要是X射线、中子和粗粒度计算研究,已阐明通过改变阳离子脂质头基的电荷,改变阳离子与两性脂质的比例(在由两性脂质+阳离子脂质+DNA组成的脂丛中),可以灵敏地调整结构,改变脂质-DNA比率,改变小离子的价态和浓度也存在。12-27
虽然体内转染和成像研究以及体外结构研究对于通过合成载体优化基因转染非常重要,但此类研究揭示的信息有限。例如,总的来说,这些方法对脂质体形成的自由能或脂质体内部或脂质体与内体之间的详细分子水平相互作用等潜在重要问题提供了有限的见解。为了克服前者的缺点,进行了一系列的量热法、28-31压力等温线和石英晶体微天平测量。31,33了解DNA/脂质/界面水相互作用的分子细节如何影响脂质复合体结构,了解分子水平信息如何影响纳米到微米尺度的结构,然而,更为复杂。在计算领域,这类研究具有挑战性,因为问题是多尺度的:理想情况下,人们希望深入了解发生在数百飞秒到分钟的时间尺度和埃到毫米的空间尺度上的过程。24在实验领域,找到既能充分发挥表面敏感性又能发挥特异性的方法是一项挑战。几位作者利用荧光技术解决了这个方程的灵敏度部分,尽管不是表面特异性。34-36虽然这些研究提供了对膜水合作用和流动性的洞察,但这些结论通常都是间接的(通过对荧光团响应的变化及其局部分子环境的变化进行经验校准得出),并且需要使用可能干扰这一微妙系统的荧光标记。
关于脂丛中分子水平相互作用的信息可以通过振动光谱以无标记的方式直接获得。为了实现这一目标,几位作者对各种DNA/脂质系统进行了红外吸光度测量。17,18,37该方法主要用于通过量化DNA特定官能团的吸光度来测量表面的DNA量。然而,由于红外吸收缺乏固有的表面敏感性/特异性,很少有人尝试利用DNA、脂质或界面水模式的振动光谱响应的变化来理解DNA与脂质的络合。
在这项研究中,我们通过应用振动和频产生(VSF)光谱来获得DNA、脂质和界面水之间相互作用的分子水平图像,从而克服了表面特异性/敏感性的挑战。VSF是一种二阶非线性光学技术,其中脉冲可见光和红外激光束在空间和时间的界面上重叠,并在两个输入频率的总和上产生发射。根据对称性选择规则,和频过程是特定于界面的(在具有反转对称性的体相之间),并且是振动光谱,因为当红外光束的能量与界面分子的分子振动共振时,发射可以增加许多数量级。也就是说,VSF光谱是一种界面特定的振动光谱,非常适合描述水界面的分子结构。38-40之前的工作已经证明了VSF光谱(及其非共振模拟二次谐波产生(SHG)光谱)的适用性,可用于定量小分子(小于20 bp)主要是单组分单链和双链DNA的双链形成和DNA构象,共价连接到固体基质,41-47以及在水/脂质/空气界面上更长的DNA链的脂质-DNA相互作用。48目前的研究表明,VSF光谱有助于阐明脂质、界面水和任意组成的DNA链之间的分子水平相互作用。
尽管如上所述,有很多证据表明脂质复合物的结构和转染效率是脂质头基电荷密度的函数(对于阳离子脂质),但并非所有阳离子脂质都适合这种应用。一般来说,转染效率的提高(随着脂质浓度的增加)和细胞毒性(部分原因是脂质和硫酸化表面蛋白多糖组之间的相互作用10)之间存在权衡。事实上,我们之前研究中使用的阳离子脂质,48 1,1-二棕榈酰-3-三甲基丙烷铵(DPTAP),已知在远低于可观的基因转染所需浓度时对哺乳动物细胞有毒。在这里,我们通过进一步报道DNA与(i)阳离子脂质diC14-氨基的相互作用来扩展我们之前的工作,过去15年的大量工作证明了其低毒性和基因转染的适用性;49和(ii)无毒的两性离子脂质二棕榈酰磷脂酰胆碱(DPPC),无论是否存在钙(其中研究了钙的添加,因为之前的各种研究已经证明,在存在这种离子的情况下,DNA和DPPC之间的相互作用变得更有利16-19,31,33,50)。我们通过监测DNA吸附时OD拉伸(在界面D2O或HOD中)的振动振幅和线形的变化,直接跟踪DNA与每种脂质类型的相互作用。我们发现,与之前采用其他技术的研究一致,这种相互作用本质上主要是静电作用:阳离子脂质与DNA的相互作用类似,并且这种相互作用在钙存在和不存在的情况下都不同于DNA和DPPC。
此外,由于我们对双14-氨基特别感兴趣,我们还量化了DNA与该单层的相互作用如何导致脂质尾部的有序化(通过VSF光谱和压力/面积等温线)。在之前的一项研究中,Benatti及其同事利用电子自旋共振光谱和自旋标记脂质探索了DNA在双氰胺双分子层相上的吸附效应,以及温度对吸附的影响。这项研究的结果表明,DNA的吸附使凝胶相双14胺(低于23°C)流态化,并使流体双层(高于23°C):随着温度的升高,DNA的吸附起到了平滑凝胶/流体相变的作用。因此,我们的VSF观察结果提供了一个分子水平的视图,使用一个无标记的实验探针,观察了伴随这一diC14氨基/DNA相的脂质尾部结构的变化。总的来说,这些结果表明,VSF光谱学在脂丛形成研究中的应用使我们能够看到脂丛结构的各个方面,而这些方面很难通过其他手段进行研究,因此,VSF光谱学是优化合成基因治疗的有用工具。
方法
实验细节。本研究中使用的D2O是从剑桥同位素实验室(MA)获得的,纯度为99.96%,用于接收。对本研究中使用的H2O进行蒸馏,然后使用微孔装置进行过滤,最终电阻率为18.2mΩ·厘米1,2-二棕榈酰-3-三甲基铵-丙烷(DPTAP)和1,2-二棕榈酰-sn-甘油-3-磷酸胆碱(DPPC)从Avanti Polar Lipses(AL)购买,前者作为氯盐,并在收到时使用。使用之前发布的程序49合成了双氰胺(所有脂质结构见图1)。λ-噬菌体DNA(每个分子的长度由制造商指定为48 502个碱基对)从德国酵素公司购买,并在H2O中接收。在我们的大多数实验中,我们需要D2O中的DNA。为此,使用QIAEX II凝胶提取试剂盒(Qiagen)从H2O中提取DNA,然后溶解在TRIS缓冲D2O(10 mM TRIS HCl,pD)7中。该程序重复三次,以确保低浓度的H2O和最终的DNA回收≈80%(通过260 nm处的DNA吸光度进行量化)。我们没有确认该样本制备程序保留了DNA链长度。
图1.(A)双14酰胺的分子结构;(B)DPTAP;和(C)DPPC。
我们的VSF光谱设置已经在前面详细描述过。51简言之,我们采用了一种再生放大钛宝石系统(Legend,Coherent,Inc.),该系统经过优化,可用于生产钛宝石≈100fs脉冲,中心波长为800nm,带宽为12nm;使用商用光学参量放大器和差频产生装置(TOPAS,light Conversion,立陶宛)将800 nm光的1 mJ/脉冲用于产生可调谐的中红外脉冲,而使用一个或两个标准具(用于聚焦于CH拉伸的测量)将0.5 mJ的光谱变窄。在产生IR和800 nm光谱变窄后,两束光束都通过半波片和偏振器,并以相对于表面法线(分别为IR和可见光)40°和35°的反射几何结构撞击样品。采样后,过滤掉所有剩余的800 nm光,将VSF信号聚焦到光谱仪(Acton Instruments)中,在光谱仪中通过光栅将其分散,并聚焦到电子倍增电荷耦合器件(emCCD)摄像机(牛顿和或)上。本研究中报告的所有光谱均在ssp偏振条件下收集(s偏振SF、s偏振可见光、p偏振红外)。所有测量均在21.5°C下进行。
在这项研究中,我们对OD和CH拉伸区域的光谱响应感兴趣,分别为红外频率的2100-2700和2800-3000 cm-1。由于红外光源的带宽小于OD拉伸振动的线宽,我们需要通过系统地改变TOPAS中两个非线性晶体相对于入射光的角度来扫描红外频率。这个过程的结果是,红外功率在我们期望的频率范围内是不均匀的。我们通过将所有脂质/DNA光谱除以相同频率范围内的光谱(从z切石英测量)来纠正这种不均匀性。我们的TOPAS/差频发生器在产生3400 cm-1以上频率的光时效率相对较低。正是出于这个原因,我们研究了D2O和HOD的OD延伸,而不是H2O和HOD的OH延伸。我们和其他人的广泛比较发现,OD光谱可以线性缩放以定量恢复OH光谱:用重水代替光不会影响分子结构(在VSF光谱中可见的程度)。
之前的一些研究使用VSF光谱法对含有末端附着在固体表面上的DNA的系统的CH拉伸频率区域进行了研究,报告了来自DNA43,44的VSF活性CH模式,而其他研究则没有。42,45那些观察到DNA CH模式的研究以其核碱基序列的相对简短和简单而著称。我们的DNA链比这些研究中使用的DNA链长2000-5000倍,物理吸附在界面上(因此可能具有较小的长程顺序),并且化学上不均匀。这些考虑表明,正如我们确实发现的那样,在我们的实验系统中,DNA本身没有VSF活性CH模式。
脂质储备溶液在氯仿中制备。在有无DNA的情况下,通过在含有D2O和tris缓冲液的亚相上滴加这些储备溶液制备单层。光学分析是在自制的聚四氟乙烯槽中制备的样品上进行的。使用商用张力计(芬兰基布隆)对这些水槽中的表面压力进行量化。高分辨率压力(π)/面积等温线是在带有移动屏障的商用槽(微型槽X,Kibron,芬兰)上测量的。
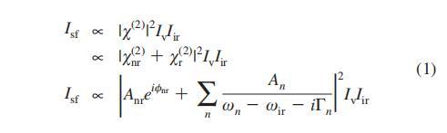
数据分析。最后,我们希望比较不同振动模式的光谱振幅和线型,作为亚相DNA浓度的函数。由于VSF是一种相干光谱,并且我们的数据包含可能会干扰的多个共振,因此很难通过检查原始数据来推断光谱振幅。根据之前的作者,我们通过将和频响应建模为洛伦兹的集合,并附加非共振贡献(其中(2)是二阶磁化率,Iv是入射可见光场的强度,Iir是入射红外场的强度,Anr是非共振振幅,φnr是非共振相位,An是振动模n的振幅,ωn是振动模n的中心频率,ωir是红外场的频率,Γn是振动模n)52的均匀线宽
在下面的内容中,我们主要感兴趣的是比较提取的光谱振幅除以线宽:An/Γn。为了便于与测量的和频强度进行比较,我们绘制(An/Γn)2。我们通过使用等式1拟合数据并在商用分析和绘图程序Igor Pro(Wavemetrics,OR)中实现Levenberg-Marquardt算法来提取这些量。如下文所述,我们主要感兴趣的是使用这种数据拟合来提取光谱振幅随DNA浓度变化的定性趋势。因此,我们没有尝试在数据分析中详尽地探索模型参数的相空间。

