18l18luck新利 Info
合作客户/
拜耳公司 |
同济大学 |
联合大学 |
美国保洁 |
美国强生 |
瑞士罗氏 |
相关新闻Info
推荐新闻Info
-
> 耐擦刮无胶消光膜制备方法、高表面张力与收解卷顺畅性的平衡(二)
> 耐擦刮无胶消光膜制备方法、高表面张力与收解卷顺畅性的平衡(一)
> 利用超微量天平制备微孔淀粉处理含Cu(II)离子染料废水
> 不同类型的碱、pH值对孤东油田原油界面张力的影响(下)
> 不同类型的碱、pH值对孤东油田原油界面张力的影响(上)
> 不同结晶结构的脂肪晶体颗粒界面自组装行为、储藏稳定性研究
> 新型POSS基杂化泡沫稳定剂表面张力测定及对泡沫压缩性能的影响(三)
> 新型POSS基杂化泡沫稳定剂表面张力测定及对泡沫压缩性能的影响(二)
> 新型POSS基杂化泡沫稳定剂表面张力测定及对泡沫压缩性能的影响(一)
> 多功能膜材研发:界面张力已成为整套工艺链协同下动态演化的核心控制点
当前位置:首页 > 18l18luck新利
以豆蔻酸与氢氧化胆碱的配比控制泡沫的稳定性-IF=4.2-表面活性剂乳化气泡性能研究【下】
来源:上海谓载 浏览 1323 次 发布时间:2022-09-08
摩尔比对表面性质的影响。由于我们的目标是了解泡沫是如何作为R的函数稳定的,因此必须收集有关这些脂肪酸分子如何吸附在空气中的信息−水界面。通过耦合表面张力和镜面中子反射率(SNR)测量,我们重点研究了作为R函数的表面特性。
我们测量了室温下表面张力随R的变化,以确定对肉豆蔻酸表面活性的影响(图3)。对于0.4<R<1,表面张力约为26±2mN/m。1≤R<1.2时,表面张力从26到45 mN/m急剧增加。当R>1.2时,表面张力保持恒定在45±1mN/m左右。作为R的函数,确定了三种表面张力状态:低、中、高表面张力。通过与先前研究中确定的作为R函数的pH值变化进行比较,我们观察到三种表面张力状态完全遵循了本体pH值的变化(图3)。30
图3.氢氧化胆碱/肉豆蔻酸分散体的表面张力(黑色圆圈)和pH(蓝色正方形)随25°C下摩尔比R的变化。
除了表面张力测量之外,文献中还描述了表面活性剂系统的各种界面结构,中子反射率是确定空气/水界面(表面活性剂单层、层状相、多层状囊泡和管)界面结构的有力技术。45−47我们在20°C下进行了两个摩尔比R的SNR实验,其中R为本体自组装双层结构:R=0.4(多面囊泡)和R=0.5(层状相)。在SNR曲线上,我们观察到−4来自纯空气/水界面的散射衰减和显示界面处存在肉豆蔻酸厚层的规则干涉条纹(图SI.2和SI.3)。为了拟合SNR数据,我们使用了多层模型(数据拟合描述见支持信息)。45,48从这些结果,我们可以得出结论,多面囊泡和层状相在空气中形成层状相结构−水界面吸附在脂肪酸单层下方。
摩尔比对泡沫性能的影响。我们研究了作为R和温度函数的泡沫性能(发泡性和泡沫稳定性)。摩尔比在0.4至2.0之间变化,温度固定在15或35°C,以便在本体中具有不同的自组装体(图4)。
首先,我们通过将氮气鼓泡到每个脂肪酸分散体中来生产泡沫,从而可以根据泡沫性(产生多少泡沫)和泡沫稳定性(泡沫如何演变)进行定量描述。在所有温度下,泡沫在60±5 s左右迅速形成,由均匀的小气泡组成(在50−100μm)(表SI.1和图SI.4)。仅当R>1.5时,我们观察到达到固定泡沫体积所需的时间略有增加。因此,无论R值是多少,发泡能力都很高,因为所有气体在发泡结束时都包封在泡沫中,不受自组装结构的影响。
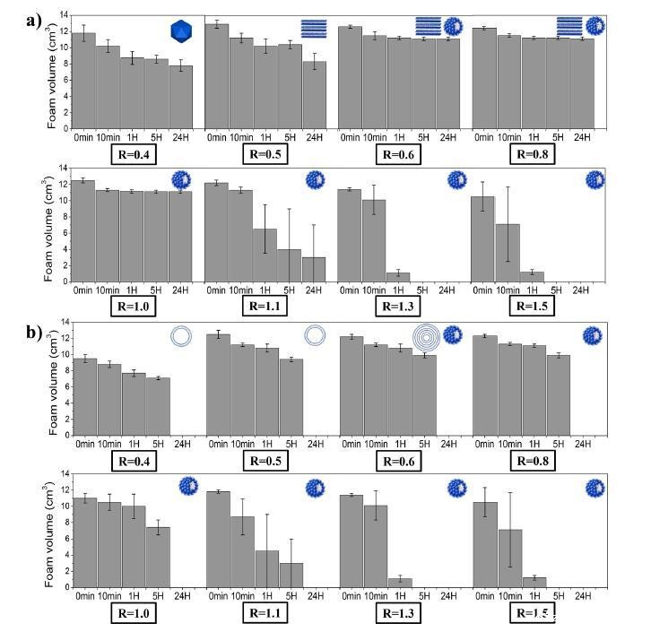
图4:在两种温度下(a)15°C和(b)35°C下,不同摩尔比(R)的气泡气体产生的泡沫体积随时间的变化。示意图显示了根据先前研究确定的R和温度的函数,整体存在的自组装件。30
为了获得泡沫稳定性的信息,我们记录了泡沫体积随时间的变化(图4)。首先,在15°C下,对于0.4<R<1.2,泡沫体积在3600 s内保持恒定,约为40 cm3(图4.a)。这些泡沫可以表示为稳定泡沫。对于R=1.3,泡沫体积在3600秒后缓慢下降至30cm3。该泡沫具有中等稳定性。对于R≥泡沫体积随时间迅速减小。在实验结束时,泡沫柱内只剩下少量气泡。这些泡沫被分类为不稳定泡沫。我们观察到作为R函数的三种状态(图4a)。在25°C时,自组装体与15°C时的整体相同,观察到泡沫稳定性的变化(图SI.5)。在35°C时,还获得了三种状态(图4b)。对于0.4<R<1.1,在3600 s内观察到稳定泡沫,泡沫体积恒定在40 cm3左右。对于R=1.2,泡沫具有中等稳定性,泡沫体积随时间缓慢减少。对于R≥1.3,泡沫不稳定,泡沫体积随时间快速减少。在所有温度下,观察到三种泡沫稳定性状态,我们将其分为稳定泡沫、中等稳定性和不稳定泡沫。随着温度的升高,只有两种状态之间的极限略微向较低的R移动。此外,泡沫在35°C时的稳定性稍差,因为泡沫在2400 s后开始在顶部破裂,而在15和25°C时泡沫没有发生任何变化。
我们还测量了泡沫内液体量随排水时间的变化(图SI.6)。在所有R和温度下形成泡沫后,液体分数约为20±5%。没有观察到液体分数随R变化的趋势。所有样品的液体分数随时间迅速下降,表明无论R如何,都会发生排水。然而,我们观察到,在R<1时,35°C时的排水速率比15°C时更快。对于R,液体分数下降更快≥1适用于所有温度。
图5:在两种温度下(a)15°C和(b)35°C下,通过手摇动不同摩尔比(R)产生的泡沫体积随时间的变化。示意图表示作为R和温度的函数的大量自组装体。
在文献中已知,泡沫生产方法影响泡沫性能。44作为比较,我们还通过手摇动生产泡沫(图5)。摇动的优点是可以在封闭的瓶子中进行,这允许我们在更长的时间内(在我们的情况下为24小时)跟踪泡沫体积的演变。此外,使用两种不同的发泡技术会导致泡沫生产结束时产生不同的气泡尺寸和液体分数。使用手摇动来确认从鼓泡技术(即三种泡沫稳定性状态)得出的观察结果。在所有R和温度下形成泡沫后,液体分数在30±5%左右。握手法产生的气泡直径大于鼓泡法(约50−100μm用于起泡,约150μm用于握手)。
在15°C下,我们再次获得了三种泡沫稳定性状态(图5a)。对于0.4<R≤1.1在15°C下保存泡沫24小时后,泡沫体积略有减少。对于R=1.1,在24小时后,泡沫体积从约12 cm3减小到3 cm3,并且如肉眼所见,气泡尺寸增大。对于R≥1.3仅1小时后几乎没有更多泡沫。在35°C下,无论R值如何,24小时后没有更多泡沫(图5b)。5小时后,再次观察到三种泡沫稳定性状态。对于0.4<R≤1、泡沫保持5小时后泡沫体积仅减少几cm3,泡沫稳定。对于R=1.1,5小时后,泡沫具有中等稳定性,因为泡沫体积从约12 cm3减少到3 cm3,伴随着气泡尺寸的增加。对于R≥1.2,泡沫不稳定,仅1小时后不再有泡沫;塑料管内只剩下几个非常大的气泡。在25°C下观察到相同的趋势,0.4<R<1的稳定泡沫,1≤R≤1.1和R的不稳定泡沫≥1.2(图SI.7)。
在这两种发泡方法之间,我们观察到结果非常接近,且泡沫体积随时间随R变化的三个主要状态有所不同。然而,与通过起泡产生的泡沫相比,通过握手产生的泡沫,稳定泡沫和中间稳定性之间的转变开始转移到较低的R值,在所有温度下观察到的趋势。这表明,初始气泡尺寸和液体分数对三种状态之间的R阈值有轻微影响。■讨论了自组装体、界面和泡沫性能之间的联系,作为R的函数。我们在从分子到宏观的所有不同尺度上收集的结果表明:(i)观察到三种不同的表面张力,它们与R紧密相关,因此与pH密切相关;(ii)发泡性不取决于R;(iii)通过R调节泡沫稳定性,并获得三种泡沫稳定性状态(高、中、低);(iv)在泡沫液体通道内,自组装纳米结构的结构与本体中的结构相同,并由R进行调整。这些结果的组合应允许我们通过解决以下问题来描述导致观察到的三种泡沫稳定性状态的机制:是来自本体或界面性质的变化,还是两者?泡沫稳定性是由体积还是界面性质驱动的?是什么设定了高、中、低泡沫稳定性状态之间的转换?
众所周知,泡沫的不稳定是由三种主要机制引起的:聚结、粗化和排水。25,49,50在这里,我们观察到,自组装双层结构存在时,泡沫排水比球形胶束存在时稍慢。与球形胶束相比,含有囊泡、层状相等的分散体的体积粘度高得多,导致排水率的差异(图SI.8)。51,52然而,即使在低R下生产的泡沫含有微米级聚集体的情况下,泡沫排水发生,导致通过起泡(液体分数低于5%)生产的泡沫在不到1小时后产生相对干燥的泡沫,即使这种泡沫显示出非常好的稳定性。因此,泡沫稳定性主要与模型系统中的聚结和粗化现象有关,而与排水无关。
为了限制聚结和粗化现象,界面层的机械性能,如抗压性和弹性非常重要。在文献中,描述了表面性质与本体中脂肪酸分子的电离状态有关,该电离状态由pH值25,50控制。对于脂肪酸单层,表面和本体之间的pKa差异很小。当pH值接近pKa时,脂肪酸在质子化和去质子化状态下以1:1的比例存在。5,6,53
在我们的系统中,对于0.4<R≤1、获得低表面张力。本体pH约为9,对应于肉豆蔻酸的pKa。根据文献中类似系统中获得的结果,我们可以假设在空气/水界面,电离状态下的质子化和去质子化分子都存在。7,54,55我们假设两种分子物种存在协同吸附,它们通过氢键相互作用,导致分子间距离减小,从而在界面形成致密单层。在文献中,已知界面上羧基的存在降低了静电排斥力,导致更紧密的单层堆积。7,54,55这两种物质在界面形成的致密单层产生了弹性表面活性剂层,如类似系统中所强调的。22−24当本体中的pH值通过增加R而增加时,质子化的肉豆蔻酸分子逐渐变为脱质子化。在界面处,单层中脱质子化分子与质子化的分子的比率增加,这增加了带电羧酸盐头基之间的静电排斥。与较低R时发生的情况相比,这降低了可吸附的脂肪酸的密度。因此,对于1<R<1.2,表面张力随着脂肪酸表面密度的降低而逐渐增加。对于对应于高pH值的R>1.3,只有脱质子化分子存在于本体和界面中。羧酸盐头基之间的强排斥力最大,吸附密度最小,低于接近pKa的pH值(图6)。56在这样的R范围内,由于界面处脂肪酸分子的低密度,表面张力达到其最高值。通过耦合表面张力和红外吸收光谱,肉豆蔻酸钠盐的文献中也描述了类似的结果。54因此,作为R的函数,存在三个不同的表面张力范围:R<1为低,R为中等≈1和R的高≫1(图6)。由于脂肪酸分子的逐渐脱质子化,中间状态对应于从低表面张力状态到高表面张力状态之间的过渡。这两个极端之间的过渡是平稳的。
图6.说明摩尔比(R)、泡沫稳定性、本体自组装和表面性质之间联系的示意图。
最近有人提出,表面活性剂在界面形成氢键的能力调节泡沫膜的稳定性,从而调节泡沫在宏观尺度上的整体稳定性。24由于我们已经在模型系统中确定了表面张力的三个R范围,我们可以讨论它们对三种不同的泡沫稳定性状态的影响,这三种状态被确定为R的函数:R<1时为高,R<1则为中等≈R为1和低≫1(图6)。
低于等摩尔浓度的R具有高泡沫稳定性。对于这种高泡沫稳定性体系,所有分散体在本体和泡沫液体通道中均含有大型自组装双层结构(多面囊泡、球形囊泡和层状相)。这种高泡沫稳定性状态对应于低表面张力状态,其中在界面处形成致密单层,这确保了对气泡的良好保护,防止其粗化和聚结。此外,我们通过SNR表明,在该脂肪酸单层下方,多面囊泡和层状相被吸附并在界面形成多层状相。这些结构形成厚界面层,并且已知加强气泡的保护,因为粗化与界面层的渗透性相关。57−59
R高于等摩尔浓度时泡沫稳定性低。由含有球形胶束的分散体获得的泡沫用于R≫随着时间的推移,1个被迅速摧毁。我们表明,泡沫液体通道内仅存在球形胶束,由于低体积粘度,不会减少排水。这种低泡沫稳定性状态也对应于具有单层的高表面张力状态,所述单层仅包含低密度的脂肪酸分子并且不能保护气泡防止聚结和粗化。泡沫失稳机制未被阻断,导致泡沫不稳定。
在这种高R状态下,泡沫中大量过量的反离子也会影响其发泡性。在这种情况下,薄膜稳定性是由于与液膜两侧吸附的离子表面活性剂相关联的离子双层之间的静电排斥。大量添加氢氧化胆碱作为抗衡离子屏蔽这些相互作用,进而导致电双层缩短,降低泡沫的稳定性。这种快速泡沫失稳也可以解释为什么泡沫能力低于其他R状态;因为在泡沫形成期间已经发生失稳。60对于阳离子表面活性剂和有机抗衡离子之间的混合物,已经描述了这种现象。61,62
接近等摩尔浓度的R的中间泡沫稳定性状态。我们的结果表明,在等摩尔浓度附近,泡沫相对稳定,即使在低泡沫稳定性区域,在体泡沫通道中仅检测到胶束。这证明,获得稳定泡沫所需的条件不仅是由大量自组装结构(囊泡、层状相等)的存在驱动的,而且还受到表面脂肪酸堆积的强烈影响。该中间状态是两个极端状态(高和低泡沫稳定性)之间的平滑过渡。对于这种中间泡沫稳定性状态,表面张力状态也对应于高和低表面张力之间的表面填料和表面张力的交叉范围。宏观尺度的结果是中等泡沫稳定性。
烷基链熔化对相行为和泡沫稳定性的影响。在该系统中,烷基链熔化发生在27°C左右,这已表明会导致自组装体的刚性从多面囊泡和层状相变化为球形囊泡。30如以下(15和25℃)和高于烷基链熔化温度(35℃)的结果所示,熔化对泡沫稳定性的影响相当低。事实上,一般泡沫稳定性趋势不受链状态的影响,在所有温度下,始终观察到三种泡沫稳定性状态。然而,在27°C以上,泡沫稳定性低于27°C以下。分子尺度上的这种转变主要改变界面层的性质,其中熔融链更易移动,填充较少,并且具有较低的变形阻力。因此,它们难以抵抗聚结和粗化,并导致泡沫稳定性降低。
结论
在这项研究中,我们证明,可以通过调整一个简单的参数,即肉豆蔻酸与其有机抗衡离子氢氧化胆碱之间的摩尔比R,在宏观尺度上调整脂肪酸体系的泡沫稳定性。事实上,R的调节导致分子尺度的变化,同时影响表面性质和微观尺度上泡沫液体通道中的自组装。R是将泡沫稳定性从低调整到高的简单触发器(图6)。通过使用多尺度方法,我们强调,泡沫稳定性不能仅通过观察散装自组装的大小和性质来解释,这与先前在类似脂肪酸/有机抗衡离子系统中的研究结果相反。16,18事实上,我们观察到在相同自组装(球形胶束)存在下,相对稳定的泡沫(接近等摩尔浓度)或不稳定泡沫(高于等摩尔浓度)。我们的结果证实了Ferreira等人最近得出的关于负离子系统的结论,表明自组装结构不是预测泡沫稳定性的唯一合适参数。29
我们系统中泡沫稳定性的差异主要与界面处脂肪酸单层的性质有关,这取决于肉豆蔻酸的电离状态。通过控制摩尔比R,我们可以设置本体的pH值,该pH值与氢氧化胆碱反离子引入的氢氧化离子的量有关。pH值控制脱质子化和质子化分子在本体和界面上的比例,以及它们之间的相互作用:氢键和/或排斥静电相互作用。界面上脂肪酸的表面张力和密度与R直接相关。因此,我们可以假设泡沫稳定性主要取决于由R控制的界面性质的变化,R在分子尺度上起着至关重要的作用。这个结果可以解释为我们正在处理这个系统中的合并和粗化问题。这些泡沫失稳机制发生在分离气泡的薄膜的尺度上,该薄膜由相互作用的两个界面组成。对于脂肪酸皂体系,获得稳定泡沫的主要要求是通过在界面处由氢键相互作用的质子化和脱质子化分子的混合物来稳定泡沫,从而产生致密和弹性的表面活性剂层,抵消聚结和粗化。
我们的结果似乎证实了表面活性剂头部基团之间的分子间氢键对泡沫稳定性的作用,最近其他类型的表面活性剂也证明了这一点。22−24我们研究的下一个步骤是通过使用文献中已经描述的其他抗衡离子和其他能够形成氢键的表面活性剂来确认用肉豆蔻酸获得的结果。63−65
这项基于脂肪酸皂体系的研究为理解泡沫稳定性和自组装之间存在的关系提供了新的见解,这是所有从事配方、泡沫和自组装的科学家感兴趣的,并将刺激这方面的进一步工作。从应用的角度来看,本研究有助于改进基于脂肪酸皂的发泡配方,用于洗涤剂、化妆品等的各种应用。

