新闻中心Info
合作客户/
拜耳公司 |
同济大学 |
联合大学 |
美国保洁 |
美国强生 |
瑞士罗氏 |
相关新闻Info
推荐新闻Info
-
> 耐擦刮无胶消光膜制备方法、高表面张力与收解卷顺畅性的平衡(二)
> 耐擦刮无胶消光膜制备方法、高表面张力与收解卷顺畅性的平衡(一)
> 利用超微量天平制备微孔淀粉处理含Cu(II)离子染料废水
> 不同类型的碱、pH值对孤东油田原油界面张力的影响(下)
> 不同类型的碱、pH值对孤东油田原油界面张力的影响(上)
> 不同结晶结构的脂肪晶体颗粒界面自组装行为、储藏稳定性研究
> 新型POSS基杂化泡沫稳定剂表面张力测定及对泡沫压缩性能的影响(三)
> 新型POSS基杂化泡沫稳定剂表面张力测定及对泡沫压缩性能的影响(二)
> 新型POSS基杂化泡沫稳定剂表面张力测定及对泡沫压缩性能的影响(一)
> 多功能膜材研发:界面张力已成为整套工艺链协同下动态演化的核心控制点
液体表/界面张力测量方法概述
来源:奈奈生 浏览 1326 次 发布时间:2022-10-08
表面张力是由物态内部的分子(或原子)间的相互吸引力导致的,拿液体为例,液体内部分子之间的吸引力一般比气体中分子之间或气体与液体之间的分子之间的吸引力要大。表面张力的起因实际上是界面所造成的不对称,是一个位于表面内的力。严格地说表面是指液体与其本身的饱和蒸汽间形成的特殊相界面,而界面则是通指一液体与另一互不相如溶的液体(或流体)之间形成的相界面。这里提到的内容既适用于表面,也适用于界面,所以二者不严格区分,除非特殊提及。
要扩大一个一定体积的液体的表面,那么需要向这个液体作功。表面张力被定义为在扩大一单位面积的液体表面时所要作的功,因此表面张力也可以被看作是表面能的密度。
insect on water表面张力是一种物理效应,它使得液体的表面总是试图获得最小的、光滑的面积,就好像它是一层弹性的薄膜一样。其原因是液体的表面总是试图达到能量最低的状态。由于球面是同样体积下面积最小的几何形状,因此在没有外力的情况下(比如在失重状态下),液体在平衡状态下总是呈球状。
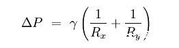
表面张力的存在使得一表面/界面两边的压力不再相同,这一压力差的大小取决于界面张力及届面的曲率,可用杨-拉普拉斯(Young-Laplace)公式来描述:
液体的表面/界面张力可直接测量。测量的方法大多基于对表面/界面施加一外力,从而引起其变化,通过测量施加的力和/或其变化的程度,就可计算出表面/界面张力的值。
表面/界面张力的测量方法可根据直接测量的物理量分为:
力测量法
压力测量法
界面形状分析法
力测量法挂环法通常是运用一探针使其与待测的界面接触,然后通过一天平来测量施加/作用在探针上的力。为了保证界面在探针表面上的润湿性,探针通常由金属(如Platinum)制成。常见的方法有:
挂环法(Du Nouy Ring method):这可能是测量表面/界面张力的最经典方法,文献上报道的许多液体的表/界面张力值是用这一方法测得,它甚至可以在很难浸湿的情况下被使用。用一个初始浸在液体的环从液体中拉出一个液体膜(类似肥皂泡),同时测量提高环的高度时所需要施加的力。
威廉米平板法威廉米平板法(Wilhelmy Plate method):这是一种很普遍的测量方法,尤其适用于长时间测量表面张力的测量。测量的量是一块垂直于液面的平板在浸湿过程中所受的力。
其实也可以用其它几何形状的探针如圆棒,球等来代替平板,测量原理相同,被称为改变威廉米平板法(Modified Wilhelmy Plate method)。
压力测量法是通过测量界面两边(两相)的压力差,然后运用上述的杨-拉普拉斯(Young-Laplace)公式来计算表面张力。常见的方法有:
毛细管升高法毛细管升高法:当液体与毛细管管壁间的接触角小于90度时(浸润的),管内的液面成凹面,弯曲的液面对于下层的液体施加负压力,导致液面在毛细管中上升,直到压力平衡为止。通过测量液面升高的高度,及已知毛细管内径和液体与毛细管管壁间的接触角(通常默认为是0),就可计算出表面张力。这是一很经典及直观的方法,所以经常被用来作为教学示范和学生实验。
最大气泡法:泡刚形成时,由于表面几乎是平的,所以曲率半径R极大;当气泡形成半球形时,曲率半径R等于毛细管半径r,此时R值最小。随着气泡的进一步增大,R又趋增大,直至逸出液面。测得了气泡成长过程中的最高压力差,在已知毛细管半径的情况下就能计算出表面张力。
本方法非常适用于测量表面张力随时间的变化,所谓的动态表面张力。
界面形状分析法是基于对一处于力平衡状态的界面的形状的分析,是一种光学分析法。
悬滴法/座滴法:适用于界面张力和表面张力的测量。也可以在非常高的压力和温度下进行测量。测量液滴的几何形状。详细描述参见这里。
旋转滴法:可用来测定表/界面张力,尤其适应于低范围(0.1mN/m以下)界面张力的测量。测量的值是一个处于比较密集的物态状态下旋转的液滴的直径或总体几何形状。
(液滴)体积法:非常适用于动态地测量表/界面张力。测量的值是一定体积的液体分成的液滴数量。
液滴体积法其实是悬滴法的一种极端情况:悬滴的体积增大到无法再由表/界面张力来支撑,而导致表/界面撕裂而掉下。但掉下的并不是整个液滴的体积,有部分剩留在毛细管/针管管端口上,这使得掉下的液滴的体积无法精确计算,需要加入经验校正因子。
