18l18luck新利 Info
合作客户/
拜耳公司 |
同济大学 |
联合大学 |
美国保洁 |
美国强生 |
瑞士罗氏 |
相关新闻Info
推荐新闻Info
-
> 耐擦刮无胶消光膜制备方法、高表面张力与收解卷顺畅性的平衡(二)
> 耐擦刮无胶消光膜制备方法、高表面张力与收解卷顺畅性的平衡(一)
> 利用超微量天平制备微孔淀粉处理含Cu(II)离子染料废水
> 不同类型的碱、pH值对孤东油田原油界面张力的影响(下)
> 不同类型的碱、pH值对孤东油田原油界面张力的影响(上)
> 不同结晶结构的脂肪晶体颗粒界面自组装行为、储藏稳定性研究
> 新型POSS基杂化泡沫稳定剂表面张力测定及对泡沫压缩性能的影响(三)
> 新型POSS基杂化泡沫稳定剂表面张力测定及对泡沫压缩性能的影响(二)
> 新型POSS基杂化泡沫稳定剂表面张力测定及对泡沫压缩性能的影响(一)
> 多功能膜材研发:界面张力已成为整套工艺链协同下动态演化的核心控制点
当前位置:首页 > 18l18luck新利
表面张力变化对含气泡液体射流破裂的影响
来源:化工学报 浏览 2124 次 发布时间:2022-10-11
表面张力变化对含气泡液体射流破裂的影响
吴兆伟 施浙杭 赵辉 周骛 蔡小舒 刘海峰
摘要
使用高速相机研究了表面张力变化对含气泡液体射流破裂过程的影响。通过改变表面活性剂浓度获得了不同表面张力的液体射流。实验发现当液体射流速度保持不变时,减小液体表面张力会增加射流破裂长度。表面活性剂一方面降低了液体动态表面张力,减小了射流表面不稳定波的增长率,增大了射流破裂长度;另一方面表面活性剂在射流表面的非均匀分布会产生Marangoni应力,促使液体向射流变形区运动,从而推迟了射流破裂的发生,增大了射流破裂长度。通过理论分析得到了液体射流破裂长度表达式。发现射流内部气泡会显著缩短含表面活性剂射流的破裂长度。通过气泡扰动射流速度和吸附表面活性剂的分析,揭示了内部气泡对含表面活性剂射流破裂的影响规律。
引言
液体射流常见于日常生活以及工业生产领域,如化工生产、航空航天及交通运输等[1-3]。在煤化工中,多喷嘴对置式水煤浆气化技术由于其易于大型化以及先进的工艺指标等特点得到了广泛的应用[4]。在多喷嘴对置式水煤浆气化技术中,混合含表面活性剂废水的水煤浆喷射进入气化炉,在环隙气流的作用下发生破裂并雾化形成大量小液滴。液体射流破裂过程是液体雾化的基础,研究含表面活性剂射流的破裂过程具有重要意义[5-7]。
自Rayleigh[8]和Weber[9]使用线性不稳定分析理论研究液体射流破裂过程以来,关于液体射流的研究层出不穷[10-13]。液体射流破裂过程不仅受射流速度和液体黏度的影响,还受射流液体表面张力的影响[14-17]。Reitz[18]发现,在射流破裂Rayleigh模式下,牛顿流体射流不稳定波的最大增长率可以表示为表面张力的函数,提高液体表面张力可以促进射流破裂的发生。Chang等[19]研究了幂律流体射流不稳定性问题,发现在Rayleigh模式下,表面张力会促进液体射流的破裂,而液体黏度则会阻碍射流的破裂。Martínez-Calvo等[20]使用数值分析方法研究了表面吸附有不可溶表面活性剂的液丝的破裂过程,得到了不同工况下卫星液滴体积的表达式。Hameed等[21]发现不可溶表面活性剂的存在能够延缓液丝的破裂。Timmermans等[22]研究了表面吸附有不可溶表面活性剂的液丝的稳定性并指出表面活性剂主要通过改变液丝毛细压力以及液丝表面剪切应力影响液丝的稳定性。如何获得适合的射流破裂长度一直是射流破裂研究的热点。Lad等[23]发现可以通过对液体射流施加额外的扰动实现更小的射流破裂长度。Wu等[24]发现在液体射流内部注入气泡能够显著缩短射流破裂长度。关于射流内部气泡对含表面活性剂射流破裂过程影响的研究则少见报道。
前人在研究液体性质对射流破裂过程的影响时,多采用Ohnesorge数Oh和Weber数We等以描述黏度相对表面张力的大小或气动力相对表面张力的大小。较少的实验研究单独关注液体表面张力对射流破裂过程的影响。这是由于当采用不同表面张力的流体作为实验流体时,往往流体的其他性质,例如黏度或密度也会不同。表面活性剂是一类只要少量加入即能显著改变液体表面张力的物质。这提供了一个极好的独立考察表面张力影响液体射流破裂过程的视角。前人关于表面活性剂对液体射流或液丝破裂的研究多数基于数值模拟或理论推导,关于含表面活性剂射流或液丝破裂过程的实验研究较少[20,25-26]。本文采用十二烷基苯磺酸钠(SDBS)作为表面活性剂,研究了表面张力变化对液体射流破裂过程及射流内部气泡对射流破裂长度的影响。对不同表面张力液体射流的破裂过程展开研究有利于加深对射流破裂过程的理解,为含表面活性剂射流以及含气泡射流的工业应用提供理论指导。
1、实验流程与介质
实验流程如图1所示。来自注射泵的气体通过充气通道进入喷嘴并在喷嘴内形成气泡,并与来自液体流量计的液体相混合形成气液混合物。该气液混合物离开喷嘴后,在不稳定波的作用下发生破裂,使用高速相机记录这一过程,并使用开源软件ImageJ分析处理得到的图片。实验通过控制注入喷嘴的气体流量从而得到不同液体射流速度下直径近似相等的气泡。实验使用的喷嘴如图2所示。其中,喷嘴内径d 0=2.96 mm,充气通道外径d 1=0.50 mm。
图1实验流程Fig.1Sketch of experimental setup
图2实验喷嘴Fig.2Sketch of nozzle
实验采用的表面活性剂为十二烷基苯磺酸钠(SDBS),是一种阴离子型表面活性剂。在水中加入SDBS会显著减小水的表面张力。当SDBS浓度较小时,水中的十二烷基苯磺酸钠呈分子状态分散在溶液中。提高SDBS浓度至一定值时,溶液内部的SDBS分子会结合成较大的基团,形成胶束。表面活性剂在水中形成胶束所需的最低浓度称为临界胶束浓度,即CMC。Zhao等[27]实验表明SDBS所对应的CMC,使用质量分数c表示时,c≈1.00×10-3。
由于表面活性剂溶液的性质在CMC附近会发生突变,因此实验分别配制了六种不同浓度的表面活性剂溶液。当含表面活性剂射流离开射流喷嘴后,射流表面与环境气体接触,形成气液界面。此时界面处不存在表面活性剂,溶液表面张力表现为纯水的表面张力。溶液内部与气液界面处存在表面活性剂浓度梯度。在这一浓度梯度的作用下,溶解在液体中的表面活性剂分子自发地从溶液内部向射流表面扩散并分布在气液界面上,从而导致溶液表面张力的持续减小。当气液界面对表面活性剂分子的吸附达到动态平衡或气液界面处完全布满表面活性剂分子时,气液界面处的表面张力达到稳定值。因此,获得SDBS溶液在不同时刻下的表面张力,即溶液的动态表面张力,是十分必要的。
实验使用SITA t100型动态表面18luck国际(SITA Messtechnik GmbH,Germany)测量了不同浓度下SDBS溶液的动态表面张力,测量结果如图3所示。该表面18luck国际使用气泡压力法测量溶液的动态表面张力。从图3中可以看出,随着气泡寿命的增加,动态表面张力逐渐减小并最终趋于稳定。这表明在表面活性剂浓度梯度的作用下,SDBS分子逐渐从溶液内部向气液界面扩散,液体动态表面张力逐渐减小。当气泡寿命达到某一值时,气液界面对表面活性剂分子的吸附达到动态平衡,气液界面处的表面张力取得稳定值,继续增大气泡寿命并不会导致动态表面张力的进一步减小。
图3不同浓度表面活性剂溶液的动态表面张力Fig.3Dynamic surface tension at various surfactant concentrations
Rosen等[28]根据表面活性剂溶液动态表面张力随时间变化的不同趋势将动态表面张力的时间演变划分为四个区域,分别为诱导区、快速下降区、介平衡区和平衡区。他们发现前三个区域的动态表面张力随时间的演变规律可以采用式(1)表示:
(1)
式中,σ0为表面活性剂浓度为零时表面张力,即水的表面张力,mN/m;σt为t时刻溶液的表面张力,mN/m;σm为介平衡区溶液的表面张力,一般取动态表面张力变化较小时的溶液表面张力[29],mN/m;n,t*为修正系数。对式(1)两侧取对数,有:
(2)
(3)
此时,lg S为lg t的一次函数,通过拟合实验数据可以得到直线的斜率n与截距-n lg t*。
图4展示了不同SDBS浓度下lg S随lg t的变化规律,图中实线对应各浓度下动态表面张力的拟合曲线,此时图中时间t的单位为ms。从图中可以看出,拟合结果与实验数据吻合较好,拟合曲线能够较好地表征动态表面张力的时间演变趋势。拟合得到的系数见表1。
图4不同浓度表面活性剂溶液的lgS-lgt曲线图Fig.4lgS-lgtcurves of various aqueous
(surfactant solutions)
表1动态表面张力拟合参数Table 1 Fitting parameters of dynamic surface tension
2、实验结果与讨论
2.1、表面张力变化对射流破裂特征的影响
本文首先研究了不含气泡的表面活性剂射流破裂过程以探究表面张力变化对射流破裂特征的影响。实验使用高速相机记录了六种不同浓度表面活性剂溶液的射流破裂过程。实验获得的射流破裂过程如图5所示,其中Δt是相邻两张图片间的时间间隔。从图5中可以看出,虽然表面活性剂浓度并不相同,但射流的破裂过程在形态上是相似的。当液体射流离开喷嘴后,射流表面扰动迅速增长,表面波动在射流表面呈对称分布,这是射流破裂Rayleigh区的典型特征。随着表面波动的进一步发展,在射流方向上,射流表面形成瘤状结构,射流破裂发生在两个瘤状结构之间。
图5含表面活性剂射流的破裂过程Fig.5Breakup processes of various surfactant-laden jets
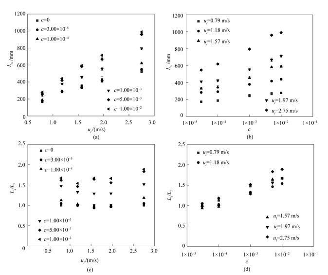
为了定量表征表面张力变化对射流破裂过程的影响,实验测量了含表面活性剂射流的射流破裂长度。射流破裂长度定义为喷嘴出口至射流首次发生破裂处的距离。图6是含表面活性剂射流破裂长度随射流速度u l的变化趋势,其中L s(mm)表示含表面活性剂射流的射流破裂长度,L l(mm)为水的射流破裂长度。从图6(a)中可以看出,当表面活性剂浓度保持不变时,提高液体射流速度会增大射流破裂长度。从图6(b)中可以看出,当液体射流速度保持不变时,随着表面活性剂浓度的增大,射流破裂长度总体上呈现逐渐增大的趋势;射流速度越大,射流破裂长度增大的趋势就越明显。使用相同工况下水的射流破裂长度无量纲化含表面活性剂射流的破裂长度后,可以得到射流破裂长度比随射流速度以及表面活性剂浓度的变化趋势,如图6(c)、(d)所示。从图中可以看出,表面活性剂的加入显著增大了射流破裂长度比。在表面活性剂浓度不变时,提高液体射流速度对射流破裂长度比的影响并不显著。在射流速度保持不变时,提高表面活性剂浓度会导致射流破裂长度比的增大。
图6含表面活性剂射流破裂长度Fig.6Breakup lengths of various surfactant-laden jets
在气液界面处,表面活性剂分子的亲水基团指向水溶液,亲油基团指向周围气体。在气液界面处表面活性剂的表面吸附量越大,溶液的表面张力越小。当液体射流离开喷嘴后,气液界面开始形成。溶解在液体射流内部的表面活性剂分子在浓度梯度的作用下向射流表面扩散并吸附在射流表面。随着射流的进行,射流气液界面表面活性剂的表面吸附量逐渐增大,射流表面张力逐渐减小。因此,与表面张力为定值的液体射流不同,处理含表面活性剂射流的破裂过程时,液体动态表面张力必须被考虑。
液体射流离开喷嘴到发生破裂所需时间可以定义为射流破裂时间t b,忽略重力作用时,其可以表示为:
(4)
不同浓度表面活性剂溶液的射流破裂时间如图7所示。
图7含表面活性剂射流的射流破裂时间Fig.7Breakup time of various surfactant-laden jets
从图7(a)中可以看出,当表面活性剂浓度保持不变时,射流破裂时间几乎不随射流速度的改变而改变。在射流速度保持不变时,随着表面活性剂浓度的增大,射流破裂时间呈现逐渐增长的趋势。在实验参数范围内,射流破裂时间均小于0.4 s。考虑重力对液体射流的加速作用,液体射流实际破裂时间要小于0.4 s。
对比图3中表面活性剂溶液气泡寿命与图7中射流破裂时间可以发现,在时间小于0.4 s时,动态表面张力尚未发展至平衡区,动态表面张力随着时间的增长逐渐减小。当表面活性剂浓度c<0.1%时,在射流破裂时间内,溶液动态表面张力缓慢减小,且与纯水的表面张力几乎相等。当表面活性剂浓度c≥0.1%时,在射流破裂时间内,动态表面张力呈现先迅速减小而后缓慢降低的趋势。
当含表面活性剂射流离开喷嘴后,其表面会形成不稳定波。射流表面不稳定波随着射流的前进不断发展并最终导致了液体射流的破裂。从图5中可以看出,实验工况下,射流表面波动为正对称波;从图6中可以看出,射流破裂长度随着液体射流速度的增大而增大。因此,可以认为在实验工况下,含表面活性剂射流处于Rayleigh模式。在此射流破裂模式下,射流表面最不稳定波的增长率可以表示为[18]:
(5)
射流表面波振幅的时间演变规律可以表示为[9]:
(6)
式中,η和η0分别为射流表面波动振幅和初始振幅,m。假设表面波振幅发展至射流半径时,射流发生破裂。因此,射流破裂长度可以表示为[9]:
(7)
在含表面活性剂射流中,表面活性剂浓度较低,对除液体表面张力以外的其他液体性质影响较小。因此,当射流刚离开射流喷嘴,新的气液界面开始形成时,射流表面初始扰动振幅与水的射流初始振幅相同,即≈10.14[24]。
当液体射流其他性质保持不变时,减小液体表面张力会导致射流表面最不稳定波增长率的减小。当液体射流内部含有表面活性剂时,液体射流表面张力随着时间的增长逐渐减小,射流表面最不稳定波的增长率逐渐减小[30-32],表面波振幅发展至射流半径所耗费时间大于同工况下水的射流所耗费时间,射流破裂长度大于同工况下水的射流破裂长度。当表面活性剂浓度c<0.1%时,在射流破裂时间内,溶液动态表面张力与水的表面张力几乎相等,因此含表面活性剂射流的破裂长度与水的射流破裂长度几乎相等。当表面活性剂浓度c≥0.1%时,在射流破裂时间内,动态表面张力显著小于水的表面张力。在相同时刻,动态表面张力随着表面活性剂浓度的增大而减小。因此,含表面活性剂射流破裂长度大于水的射流破裂长度,且随着表面活性剂浓度的增大,射流破裂长度逐渐增大。
在实验工况范围内,含表面活性剂射流的动态表面张力随着时间的推移不断减小。为了定量表征表面活性剂对射流破裂的影响,使用t=0与t=t b时刻动态表面张力的平均值作为射流平均表面张力:
(8)
式中,、分别为t=0与t=t b时刻的动态表面张力,mN/m。在t=0时刻,射流开始离开喷嘴,气液界面开始形成,气液界面尚未吸附表面活性剂分子。因此,采用表面活性剂浓度c=0时的液体表面张力作为此时的动态表面张力。
因此,射流表面最不稳定波的平均增长率为:
(9)
从式(2)~式(9)可以看出,随着表面活性剂浓度的增大以及时间的推移,动态表面张力逐渐减小,射流表面平均表面张力逐渐减小,因而导致射流表面最不稳定波平均增长率降低,射流破裂长度逐渐增大。这与实验观察到的射流破裂长度变化趋势一致。
射流表面的表面活性剂分子不仅会减小射流表面最不稳定波的增长率,其在射流表面的不均匀分布还会引发Marangoni效应,从而影响射流破裂过程[22,32-33]。
如图5所示,随着射流的发展,处于两个瘤状结构中间的液体被不断拉伸,其表面积逐渐增大,从而导致表面活性剂表面吸附量的减小。同时,由于射流内部与射流表面存在表面活性剂浓度梯度,在这一浓度梯度的作用下,表面活性剂分子从溶液内部向射流表面扩散,从而导致表面活性剂表面吸附量增大。在射流破裂时间内,不同浓度表面活性剂溶液的动态表面张力均未达到平衡区,表面活性剂尚在从射流内部向射流表面扩散。
Peclet数Pe常被用于表征对流速率与扩散速率的相对大小,本文使用Peclet数表征液体拉伸导致的表面活性剂表面吸附量减小趋势与扩散导致的表面活性剂表面吸附量增大趋势的相对强弱:
(10)
式中,L c为特征长度,m;u l为液体射流速度,m/s,u l~1;D s为质量扩散系数,m 2/s,溶液的扩散系数D s~10-9。本文使用最不稳定波的半波长λ/2作为特征长度L c。Rayleigh[8]指出,促使液体射流发生破裂的最不稳定波的波长满足:
(11)
联合式(10)和式(11)可以得到Pe>>1。因此,液体拉伸所导致的表面活性剂表面吸附量减小作用占据主导地位。随着液柱的拉伸,表面活性剂的表面吸附量逐渐减小。
在毛细压力的作用下,射流液柱直径逐渐减小并最终导致了射流的破裂。在接近射流破裂处,毛细压力驱动流体向破裂点两侧运动,破裂点附近表面活性剂的表面吸附量接近零,表面张力接近水的表面张力[22]。在瘤状结构处,表面活性剂的表面吸附量最大,表面张力最小。因此,射流表面存在自表面波波谷指向波峰的表面张力梯度,从而产生Marangoni效应。在Marangoni应力的作用下,液体自低表面张力的波峰向高表面张力的波谷运动,从而导致了液体射流破裂的延迟和射流破裂长度的增大。
Marangoni应力τM可以表示为:
(12)
在射流破裂过程中促使射流直径收缩的毛细压力pσ可以表示为:
(13)
因此,定义Marangoni应力与毛细压力的比值Z以表征Marangoni效应对射流破裂的阻碍作用:
(14)
由于射流破裂发生在Rayleigh区,联合式(11)并简化可以得到:
(15)
因此,综合考虑表面张力变化对射流表面最不稳定波增长率的影响以及Marangoni效应,液体射流破裂长度可以表示为:
(16)
(17)
式中,a和b为关于Marangoni效应的修正系数。
通过拟合实验数据得到a=1.91,b=1.58。不同浓度表面活性剂射流的射流破裂长度拟合曲线如图8所示。从图8中可以看出,拟合结果和实验数据吻合较好。拟合曲线能够较好地描述不同表面张力下射流破裂长度随射流速度的变化趋势。图9是拟合公式计算值与实验测量值之间的比较。从图中可以看出,理论预测值与实验测量值吻合较好。
图8含表面活性剂射流的破裂长度(图中实线为对应的不同浓度表面活性剂射流的拟合曲线)Fig.8Breakup lengths of various surfactant-laden jets(solid lines correspond to fitting curves)
图9射流破裂长度实验测量值与拟合计算值的比较Fig.9Comparison between experimental results and calculated results
2.2、表面张力变化对含气泡射流破裂特征的影响
图10展示了三种不同浓度表面活性剂射流在内部气泡作用下发生破裂的过程。从图10中可以看出,不同浓度表面活性剂溶液射流受内部气泡影响发生破裂的过程是相似的。随着射流的发展,表面波振幅逐渐增大并最终导致了液体射流的破裂。射流破裂发生在气泡附近。虽然不同浓度表面活性剂射流的破裂过程在形态上是相似的,但射流破裂长度并不相同。内部气泡对射流破裂长度存在影响。实验测量了含气泡的表面活性剂射流破裂长度L sb以定量表征射流内部气泡对含表面活性剂射流破裂过程的影响。射流内气泡尺寸的测量见文献[24]。
图10含气泡表面活性剂溶液射流破裂过程Fig.10Breakup process of surfactant-laden jet with inner bubbles
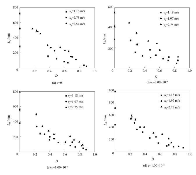
图11是不同浓度表面活性剂射流破裂长度L sb随气泡无量纲直径D=d b/d 0(d b为气泡直径)的变化。从图中可以看出,不同表面活性剂浓度下,射流破裂长度随气泡无量纲直径D的变化趋势是相似的。射流破裂长度随着气泡直径的增大逐渐减小;当气泡直径相同时,提高液体射流速度会导致更大的射流破裂长度。
图11内部气泡直径对含表面活性剂射流破裂长度的影响Fig.11Surfactant-laden jet breakup length versusbubble diameter
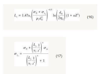
实验还研究了含气泡射流破裂长度比随气泡直径的变化趋势,如图12所示。射流破裂长度比定义为含气泡射流破裂长度对同工况下不含气泡射流破裂长度的比值。从图12可以看出,随着气泡直径的增大,破裂长度比逐渐减小,这一趋势在不同表面活性剂浓度和液体射流速度下均可被观察到。这是因为气泡的引入导致了液体射流速度的波动从而缩短了射流破裂长度。气泡直径越大,引起的速度波动越强烈,射流破裂长度比越小[24]。
图12含表面活性剂射流的破裂长度比随气泡直径的变化Fig.12Surfactant-laden jet breakup length ratiosversus bubble diameter
当气泡被注入射流后,气泡不仅会引起射流速度扰动,而且会产生新的气液界面并吸附表面活性剂分子。气泡表面对表面活性剂分子的吸附会降低表面活性剂浓度,减小射流内部与射流表面间的表面活性剂浓度梯度。因此,相对于不含气泡射流,相同时刻含气泡射流表面的表面活性剂表面吸附量较小,动态表面张力较大,射流破裂长度较小。动态表面张力的增大还会减小波谷和波峰间的表面张力梯度,从而削弱Marangoni效应,导致更小的射流破裂长度。因此,射流内部气泡的存在会导致射流破裂长度的减小。
随着气泡直径的增大,气泡表面能够吸附的表面活性剂分子增多,射流内部与射流表面的表面活性剂浓度梯度减小,相同时刻射流表面的表面活性剂表面吸附量减小,动态表面张力增大,射流破裂长度减小;同时,Marangoni效应也被削弱,射流破裂长度减小。因此,增大气泡直径会导致更小的射流破裂长度比。
如图12所示,当气泡直径较大时,破裂长度比基本不随射流速度的改变而改变。这是由于此时气泡引起的射流速度扰动对射流破裂的影响占主导地位。在气泡直径较小时,当表面活性剂浓度c<1.00×10-2,不同射流速度下射流破裂长度比基本相同。当表面活性剂浓度c=1.00×10-2,破裂长度比随着射流速度的增大而逐渐减小。这可能与被削弱的Marangoni效应有关。由式(10)可知,液体射流速度越大,液体对流造成的表面活性剂表面吸附量减少的趋势越强,波峰波谷间的表面张力差值越小,Marangoni效应越弱,射流破裂长度增加的趋势越弱。因此,在气泡较小时,随着射流速度的增大,含气泡射流的破裂长度比逐渐减小。在表面活性剂浓度较小时,气泡的存在进一步减小了射流内部表面活性剂的浓度,从而使得不同射流速度下Marangoni效应的差别不明显,不同射流速度下射流破裂长度比基本相同。
实验还得到了不同射流速度下,射流破裂长度比随气泡直径的变化曲线,如图13所示。从图中可以看出,当射流速度相同时,不同浓度表面活性剂溶液的射流破裂长度比是接近的,且几乎都小于同等条件下水的射流破裂长度比。这表明射流内部气泡对含表面活性剂射流破裂过程的影响更为显著。
图13不同射流速度下的射流破裂长度比(图中实线为水的含气泡射流破裂曲线)Fig.13Surfactant-laden jet breakup length ratios at various jet velocities(solid line corresponds to curve of water jet breakup)
3、结论
本文研究了表面张力变化下,处于Rayleigh模式的液体射流破裂过程,揭示了射流内部气泡对含表面活性剂射流破裂过程的影响,得到的主要结论如下。
(1)在液体射流速度保持不变时,随着表面活性剂浓度的提高,液体表面张力逐渐减小,液体射流破裂长度逐渐增大。表面活性剂对射流破裂的影响主要通过动态表面张力及表面活性剂在射流表面的非均匀分布实现。表面活性剂的加入使得溶液动态表面张力随着时间的推移逐渐减小,射流表面不稳定波增长率逐渐降低,表面波振幅发展到射流半径所需时间延长,射流破裂长度增大。表面活性剂在射流表面的不均匀分布会引发Marangoni效应。液体在Marangoni应力的作用下向射流拉伸区运动,从而延缓了射流破裂的发生,增大了射流破裂长度。得出了液体射流破裂长度的表达式[式(16)],拟合结果与实验测量结果吻合较好。
(2)实验发现射流内部气泡会显著缩短含表面活性剂射流的破裂长度。射流内部气泡的引入会导致射流速度的波动,从而缩短射流破裂长度。射流内部气泡对表面活性剂分子的吸附会降低表面活性剂浓度,减小表面活性剂的表面吸附量,提高射流表面的动态表面张力,从而缩短了射流破裂长度。此外,射流内部气泡导致的较大的动态表面张力还会减小Marangoni应力,削弱Marangoni效应,从而缩短了射流破裂长度。射流内部气泡越大,射流破裂长度越小。与水的含气泡射流相比,射流内部气泡对含表面活性剂射流破裂过程的影响更为显著。

