18l18luck新利 Info
合作客户/
拜耳公司 |
同济大学 |
联合大学 |
美国保洁 |
美国强生 |
瑞士罗氏 |
相关新闻Info
推荐新闻Info
-
> 耐擦刮无胶消光膜制备方法、高表面张力与收解卷顺畅性的平衡(二)
> 耐擦刮无胶消光膜制备方法、高表面张力与收解卷顺畅性的平衡(一)
> 利用超微量天平制备微孔淀粉处理含Cu(II)离子染料废水
> 不同类型的碱、pH值对孤东油田原油界面张力的影响(下)
> 不同类型的碱、pH值对孤东油田原油界面张力的影响(上)
> 不同结晶结构的脂肪晶体颗粒界面自组装行为、储藏稳定性研究
> 新型POSS基杂化泡沫稳定剂表面张力测定及对泡沫压缩性能的影响(三)
> 新型POSS基杂化泡沫稳定剂表面张力测定及对泡沫压缩性能的影响(二)
> 新型POSS基杂化泡沫稳定剂表面张力测定及对泡沫压缩性能的影响(一)
> 多功能膜材研发:界面张力已成为整套工艺链协同下动态演化的核心控制点
当前位置:首页 > 18l18luck新利
液体表面张力系数的数值计算
来源:吴义彬 浏览 1707 次 发布时间:2022-10-31
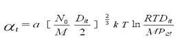
在黄昆先生“表面张力【1】”与“关于韩康琦同志所提意见的说明【2】”等文章的启示下,推导出了液体表面张力系数的理论公式【3】:
其中N0为阿伏伽德罗数,M为摩尔质量,Dit是液体的密度,Dgt是液体饱和蒸汽的密度,a为与液体种类相关的常量。为验证(1)式的正确性,对汞、乙醚、水、乙醇等实际液态物质的表面张力系数进行理论计算,并与实验实测值'相比较,列于下表【3】:
注:表中的
表列数据直接代入下式即可计算出:
表中的数据表明,试探确定各物质的比率常数a值后,由宏观参量Pgt、Dit、T(物理手册上的实验数据)直接按(2)式计算出来的与查表所得到的'相对照,一致性良好。有力地验证了:不管是单原子分子液体,还是由多原子分子构成的不同性质的液体,在较宽温度范围内,理论计算结果都具有良好的准确性与可靠性,具有普遍性意义。
结论:液体表面张力系数的理论公式(1),符合自然运作所遵循的客观规律。
参考文献:
[1]黄昆,表面张力,物理通报,1953年4月155頁。
[2]黄昆,关于韩康琦同志所提意见的说明,物理通报,1955年11月702页。
[3]吴义彬.饱和蒸汽压下单元液体的物态方程及其应用[J].江西科学,2010,28(5):593.
[4]陆重美。中等物理学手册[M]。北京:中国青年出版社,1960。
[5](苏联)К.П。雅阔夫列夫,黄镜权,尤烈之(译)。简明物理技术手册(第1卷)[M]。北京:中国工业出版社,1966。
[6]里天。常用物理常数手册[M]。昆明:云南人民出版社,1983。

