新闻中心Info
合作客户/
拜耳公司 |
同济大学 |
联合大学 |
美国保洁 |
美国强生 |
瑞士罗氏 |
相关新闻Info
推荐新闻Info
-
> 耐擦刮无胶消光膜制备方法、高表面张力与收解卷顺畅性的平衡(二)
> 耐擦刮无胶消光膜制备方法、高表面张力与收解卷顺畅性的平衡(一)
> 利用超微量天平制备微孔淀粉处理含Cu(II)离子染料废水
> 不同类型的碱、pH值对孤东油田原油界面张力的影响(下)
> 不同类型的碱、pH值对孤东油田原油界面张力的影响(上)
> 不同结晶结构的脂肪晶体颗粒界面自组装行为、储藏稳定性研究
> 新型POSS基杂化泡沫稳定剂表面张力测定及对泡沫压缩性能的影响(三)
> 新型POSS基杂化泡沫稳定剂表面张力测定及对泡沫压缩性能的影响(二)
> 新型POSS基杂化泡沫稳定剂表面张力测定及对泡沫压缩性能的影响(一)
> 多功能膜材研发:界面张力已成为整套工艺链协同下动态演化的核心控制点
表面张力在调控液滴-薄膜体系平衡构型的作用机制
来源:力学家 浏览 1257 次 发布时间:2023-12-19
表面张力是固体的重要表面物理参数,决定着材料的诸多特性,例如浸润性能、毛细弹性变形、微纳米结构材料的力学行为等。长期以来,固体材料表面张力的确定一直是一个挑战性的课题。对于具有晶体结构的固体而言,其表面张力一般与表面能不同,这两者的关系通过经典的Shuttleworth关系给出。然而,对于具有无定型态特征的高分子材料来说,其表面张力与表面能的关系并不清楚。在已有研究中,即使采用相似的实验方案,得到的结论也明显不同。其根本原因在于,固体的表面张力难以直接测量,一般通过其对固体变形的影响来反演推测,但由于高分子材料的表面张力对其宏观变形影响很小,导致目前仍然缺乏可靠的分析方法来确定高分子材料的表面张力。
基于此背景,北京航空航天大学邵丽华教授、杜锋助理教授及其合作者发展了一种基于液滴-薄膜体系来确定固体表面张力的理论模型,并通过实验进行了验证。如图1所示,在液滴作用下,薄膜发生鼓包变形。该项工作首先建立了确定液滴-薄膜系统(图1)平衡构型的理论模型,研究了薄膜表面弹性模量和表面张力在决定该系统平衡构型中的作用机制,给出了确定平衡构型的五个非线性方程。通过系统自由能最小原理,可以确定系统的平衡构型。当薄膜的变形是小量时,可以得到该平衡构型的解析解。
图1液滴作用下薄膜的变形过程
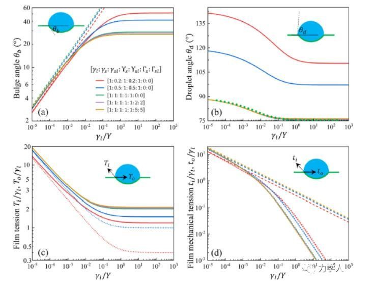
如图2所示,在给定的一组材料参数条件下,可以基于本文的理论模型确定薄膜的鼓包角、液滴铺展角、薄膜总张力和弹性张力,由此给出了液滴-薄膜系统的平衡构型。对比图2中不同参数组合的结果可以看出,薄膜表面弹性模量对平衡构型的影响很小,而薄膜的表面张力对平衡构型有决定性作用。当薄膜的刚度较大时,采用解析解确定的平衡构型跟采用数值解的结果符合很好。
图2(a)薄膜鼓包角、(b)液滴铺展角、(c)薄膜总张力和(d)薄膜弹性张力随薄膜刚度变化趋势。其中实线和点线是数值解结果,虚线是解析解结果。
基于该平衡构型的解析解,本研究发现薄膜在接触线附近的弹性应变可以由薄膜的鼓包角解析给出。由此,本文给出了在一般条件下,薄膜在接触线附近的弹性应变随鼓包角的解析关系。图3表明,基于该解析关系给出的薄膜弹性应变可以很好的描述薄膜总张力随薄膜厚度及接触线附近应变的演化规律。基于此,本文提出了采用线性外推薄膜总张力随薄膜厚度和接触线附近薄膜应变乘积的方法来确定固体表面张力的方案。
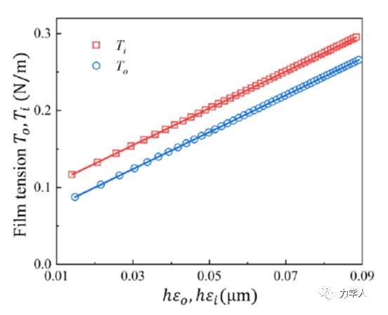
图3薄膜总张力随薄膜厚度及应变乘积的演化关系
根据本文提出的固体表面张力测试方案,该研究基于PDMS薄膜开展了相应的实验测试,结果如图4所示。从图4中可以看出,采用水和甘油均可获得PDMS的表面张力,测试结果的一致性较好,表明该方法可以有效的获得固体的表面张力。
图4实验测量PDMS薄膜的表面张力
综上所述,本文基于理论模型揭示了表面张力在调控液滴-薄膜体系平衡构型的作用机制,首次发现了薄膜张力随薄膜鼓包角的非线性解析关系,以此完善了基于薄膜-液滴体系确定固体表面张力的方案,可用于对高分子材料表面张力的实验测量和探索高分子材料表面张力与表面能的关系。
相关成果以A theoretical model to determine solid surface tension through droplet on film configuration and experimental verification为题发表在固体力学旗舰期刊Journal of the Mechanics and Physics of Solids。北京航空航天大学交通科学与工程学院杜锋助理教授为论文第一作者,北京航空航天大学航空学院邵丽华教授为本论文的通讯作者,论文共同作者还包括北京大学吕鹏宇助理教授、李宏源助理研究员和王建祥教授。该研究得到了国家自然科学基金项目的资助。
