合作客户/
拜耳公司 |
同济大学 |
联合大学 |
美国保洁 |
美国强生 |
瑞士罗氏 |
相关新闻Info
推荐新闻Info
-
> 耐擦刮无胶消光膜制备方法、高表面张力与收解卷顺畅性的平衡(二)
> 耐擦刮无胶消光膜制备方法、高表面张力与收解卷顺畅性的平衡(一)
> 利用超微量天平制备微孔淀粉处理含Cu(II)离子染料废水
> 不同类型的碱、pH值对孤东油田原油界面张力的影响(下)
> 不同类型的碱、pH值对孤东油田原油界面张力的影响(上)
> 不同结晶结构的脂肪晶体颗粒界面自组装行为、储藏稳定性研究
> 新型POSS基杂化泡沫稳定剂表面张力测定及对泡沫压缩性能的影响(三)
> 新型POSS基杂化泡沫稳定剂表面张力测定及对泡沫压缩性能的影响(二)
> 新型POSS基杂化泡沫稳定剂表面张力测定及对泡沫压缩性能的影响(一)
> 多功能膜材研发:界面张力已成为整套工艺链协同下动态演化的核心控制点
无机粒子对TPAE界面张力、发泡、抗收缩行为的影响(三)
来源:《北京化工大学学报(自然科学版)》 浏览 971 次 发布时间:2024-11-14
2、结果与讨论
2.1 TPAE/无机粒子复合物的相形态
TPAE/无机粒子复合物的微观结构特性主要由无机粒子在基体中的分散性决定,为了评估不同无机粒子在TPAE基体中的均匀分散程度及其与TPAE的相容性,通过SEM表征了不同TPAE/无机粒子复合物的断面形态,如图2所示。可以观察到,纯TPAE呈现出光滑平坦的断面形貌;而在Talc加入的复合材料中,Talc以片层结构嵌入TPAE基体,显示出较高的相容性,尽管其分布密度相对较低且在均匀性方面存在不足。
图2 TPAE/无机粒子复合物表面形貌的SEM图
对比之下,含有CaSiO3、CaCO3、WI无机粒子的TPAE复合材料展示出典型的两相形态,这些粒子在TPAE基体中的均匀分散揭示了TPAE与这3种无机粒子之间在热力学上的不相容性。值得注意的是,相比较于TPAE-2CaCO3和TPAE-2WI,TPAE-2CaSiO3复合材料的断面形貌中的CaSiO3粒子表现出明显的团聚现象,这可归因于CaSiO3独特的多孔蜂窝状结构,使得在含量增加时,粒子间相互碰撞并倾向于结合,容易形成更大的聚集体,使得CaSiO3粒子尺寸显著大于其他两种无机粒子。
为深入评估4种无机粒子与TPAE之间的相容性,本研究采用界面18luck国际、接触角仪计算了4种无机粒子与TPAE之间的界面张力,以定量分析其相容性。如图3所示,可以看出,Talc与TPAE之间的界面张力为0.82 mN/m,表明二者相互作用力较强,能够更好地相互渗透和混合,反映出二者之间存在良好的相容性。
相比之下,CaSiO3与TPAE、WI与TPAE的界面张力分别达到8.72 mN/m和14.5 mN/m,大约为Talc的10~15倍,高界面张力通常导致物质间的相分离,表明CaSiO3和WI与TPAE之间存在明显的不相容。而CaCO3与TPAE的界面张力虽低于CaSiO3和WI,但仍高于Talc,表明CaCO3与TPAE的相容性位于中间。
2.2 TPAE/无机粒子复合物的发泡行为
基于聚合物的熔体黏弹性和熔体强度在很大程度上受到温度的影响,发泡温度对发泡性能的影响显著,在不同温度下对不同TPAE/无机粒子复合物进行了发泡实验,结果表明当温度为185℃时,TPAE复合物泡沫具有最佳的泡孔结构,因此后续的分析讨论也是基于这个温度。通过SEM表征了185℃下不同粒子含量TPAE/无机粒子复合物泡沫的泡孔结构,结果如图4所示,图5则展示了不同TPAE/无机粒子复合物泡沫的泡孔直径与密度。结果表明,纯TPAE泡沫呈现出明显的泡孔坍塌合并现象,4种无机粒子的添加都明显改善了TPAE泡沫泡孔的破裂情况,泡孔结构均匀,泡孔直径明显降低,泡孔密度大幅提升,这是由于4种无机粒子都起到了异相成核效应。
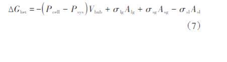
其中,相比较于Talc,CaCO3、CaSiO3、WI这3种无机粒子对于TPAE泡沫泡孔结构的改善效果更为显著,具有更高的泡孔密度。这是因为根据异相成核理论公式(7)
图3无机粒子与TPAE的界面张力
图4 185℃下TPAE/无机粒子泡沫泡孔结构的SEM图
图5 TPAE/无机粒子复合物泡沫的泡孔直径与密度
其中,Pcell是泡孔中的气体压力,Pa;Psys是周围系统的压力,Pa;A是表面积,m2;σ是界面张力,mN/m;l、g、s分别表示熔体、气体和固体相。
在其他条件相近的情况下,泡孔成核的活化能垒∆Ghet主要受聚合物和添加剂之间的界面张力σsl影响。与Talc相比,这3种无机粒子与TPAE具有更高的界面张力,导致两相界面处的成核能垒降低。
此外,CO2倾向于聚集在不相容的两相界面处,其浓度的增加会进一步降低界面处的泡孔成核能垒,加速异相成核速率,促进泡孔的形成。其中TPAE/WI复合物泡沫由于具有最高的界面张力而展现出最高的泡孔成核数。
2.3 TPAE/无机粒子复合物泡沫的开孔机制
根据TPAE/无机粒子复合物泡沫的泡孔结构图可以看出,相比较于纯TPAE泡沫的闭孔结构,无机粒子的添加明显促进了TPAE泡沫泡孔的打开。为详细探究无机粒子的开孔机制,使用真密度仪对不同TPAE/无机粒子复合物泡沫的开孔率进行了测试,如图6所示。无机粒子的添加都提高了TPAE泡沫的开孔率,表明无机粒子的加入是影响开孔率的关键因素。基于TPAE和TPAE/CaSiO3复合物泡沫中的开孔结构分析无机粒子对复合物泡沫开孔结构的影响(以CaSiO3为例),如图7所示。可以看出,纯TPAE泡沫主要出现泡孔壁上,且形成的孔比较规则,这是由于纯TPAE熔体强度低,泡孔壁容易破裂。而TPAE/CaSiO3复合物泡沫的开孔主要发生在泡孔的内壁以及几个泡孔的相交处上,这是因为在泡孔生长过程中,由于CaSiO3的非均相成核,泡孔在CaSiO3分散相周围成核生长,形成花状的泡孔结构,而TPAE与无机粒子的相容性差,使得CaSiO3从泡孔壁上脱落,留下不规则的网状结构,从而导致泡孔间相互连接。其他3种TPAE/无机粒子复合物泡沫的开孔形式同TPAE/CaSiO3复合物泡沫一致。图8展示了两种与TPAE具有不同界面张力的粒子(以CaSiO3和Talc为例)的添加对复合物泡沫开孔结构形成的影响机制。
图6 TPAE/无机粒子复合物泡沫的开孔率
图7 TPAE泡沫的典型开孔结构
图8 TPAE/无机粒子复合物泡沫开孔结构的形成示意图

