合作客户/
拜耳公司 |
同济大学 |
联合大学 |
美国保洁 |
美国强生 |
瑞士罗氏 |
相关新闻Info
-
> 湍流飞溅与表面张力两者之间有何关系?
> 不同温度下水波波速和表面张力系数的关系与计算方法【实验】(一)
> 起泡剂作用下单气泡运动特性实验研究
> 表面张力对乙醇液滴冲击过冷水平壁面的铺展动力学行为的影响(一)
> GA、WPI和T80复合乳液体系的脂肪消化动力学曲线、界面张力变化(四)
> 气溶胶固定剂PAM-b-PVTES合成路线及GPC、DSC、表面张力等性能测试(二)
> 热力学模型计算MgO-B2O3-SiO2-CaOAl2O3富硼渣表面张力(三)
> 胶凝材料对引气剂溶液表面张力的影响
> 不同PQAI溶液静态/动态表面张力变化及对脉动热管性能影响(二)
> 不同质量浓度沥青质溶液界面张力、界面剪切黏度及粒径分布图【下】
推荐新闻Info
-
> 耐擦刮无胶消光膜制备方法、高表面张力与收解卷顺畅性的平衡(二)
> 耐擦刮无胶消光膜制备方法、高表面张力与收解卷顺畅性的平衡(一)
> 利用超微量天平制备微孔淀粉处理含Cu(II)离子染料废水
> 不同类型的碱、pH值对孤东油田原油界面张力的影响(下)
> 不同类型的碱、pH值对孤东油田原油界面张力的影响(上)
> 不同结晶结构的脂肪晶体颗粒界面自组装行为、储藏稳定性研究
> 新型POSS基杂化泡沫稳定剂表面张力测定及对泡沫压缩性能的影响(三)
> 新型POSS基杂化泡沫稳定剂表面张力测定及对泡沫压缩性能的影响(二)
188新利app
> 多功能膜材研发:界面张力已成为整套工艺链协同下动态演化的核心控制点
气溶胶固定剂PAM-b-PVTES合成路线及GPC、DSC、表面张力等性能测试(二)
来源:精细化工 浏览 722 次 发布时间:2025-03-05
1.2.2大分子链转移剂PAM-CTA的制备
PAM-CTA合成路线如下所示:
在500 mL四口烧瓶中加入200 g无水乙醇、10 g(0.14 mol)AM和一定量DBTTC〔其中,n(AM)∶n(DBTTC)=100∶1、200∶1、300∶1、500∶1、700∶1、1000∶1〕,超声混合均匀后再加入0.0231 g(0.14 mmol)AIBN,然后在70℃下反应8 h。反应结束后,趁热出料,过滤。在超声条件下,用正己烷洗涤沉淀,过滤,重复数次,除去未反应完全的反应物,在45℃下真空干燥24 h,得到淡黄色的PAM-CTA固体粉末。将上述不同n(AM)∶n(DBTTC)制得的产物依次命名为PAM-CTA-1、PAM-CTA-2、PAM-CTA-3、PAM-CTA-4、PAM-CTA-5、PAM-CTA-6。
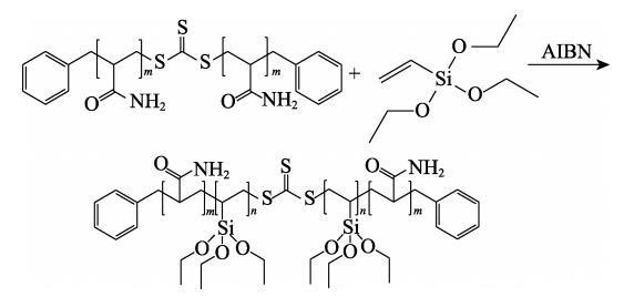
1.2.3双亲性嵌段共聚物PAM-b-PVTS的合成PAM-b-PVTES合成路线如下所示:
在500 mL四口烧瓶中加入300 g无水乙醇、0.0231 g(0.14 mmol)AIBN和10.0816 g(0.28 mmol)PAM-CTA-4,用超声波将PAM-CTA-4混合均匀分散,再加入VTES〔其中,n(VTES)∶n(AM)=5∶100、10∶100、15∶100、20∶100〕,在70℃下反应8 h。反应结束后趁热出料,过滤。在超声条件下,用正己烷洗涤沉淀,过滤,重复数次,在45℃真空干燥24 h,得到PAM-b-PVTES固体粉末。将上述不同n(VTES)∶n(AM)制得的产物依次命名为PAM-b-PVTES-1、PAM-b-PVTES-2、PAM-b-PVTES-3、PAM-b-PVTES-4。
1.3结构表征与性能测试
1.3.1结构表征
FTIR测试:采用溴化钾压片法进行FTIR测试。1HNMR测试:DBTTC采用氘代丙酮作溶剂,PAM-CTA-4和PAM-b-PVTES-2采用重水作为溶剂。
1.3.2性能测试
DSC测试:测试温度在0~220℃之间,升温速率为20℃/min,测试气氛为N2,第一次升温到220℃后,为了消除样品的热历史,按照20℃/min速率降温到–20℃,随后对样品进行第二次升温,升温速率20℃/min,N2气氛。GPC测试:以水为流动相,聚苯乙烯(PS)为标准样品,测试共聚物的相对分子质量及其分布。黏度测试:配制固含量为20%的共聚物水溶液,在恒温(25℃)下测定其黏度,结果为6次测试的平均值。表面张力测试:配制固含量为20%的共聚物水溶液,在恒温(25℃)下测定其共聚物水溶液的表面张力,结果为6次测试的平均值。接触角测试:由于放射性气溶胶不易控制和采集,因此,选用PTI-A2实验粉尘来模拟放射性气溶胶粉尘。配制固含量为20%的共聚物水溶液,将3 g PTI-A2实验粉尘压制成小圆片,测定不同单体比例的共聚物水溶液与PTI-A2实验粉尘的接触角。
1.3.3气溶胶沉降固定实验
用流化床气溶胶发生器将4 g PTI-A2实验粉尘均匀地分散到自制8 m3密闭空间中,随后雾化喷淋1 L压制剂或固定剂,雾化喷淋结束后,在无扰动情况下采用空气动力学粒径谱仪检测气溶胶在20 min内单位体积内颗粒数的变化情况。
2结果与讨论
2.1 FTIR和1HNMR分析
选用PAM-CTA-4和PAM-b-PVTES-2样品进行FTIR和1HNMR表征。
图1为聚合物的FTIR谱图。由图1可知,对于PAM-CTA-4,3202 cm–1处为—NH2的伸缩振动吸收峰,1620 cm–1处为C==O键的伸缩振动吸收峰,1192 cm–1处的吸收峰为C—S键的伸缩振动,1049 cm–1处的吸收峰为C==S键的伸缩振动,1415 cm–1处的吸收峰归属于苯环骨架的伸缩振动,639 cm–1处的吸收峰为苯环上单取代的特征峰,表明聚合物PAM-CTA-4已经成功制备。在PAM-b-PVTES-2的FTIR谱图中,879 cm–1处为Si—C键的伸缩振动吸收峰,1087 cm–1处为Si—O键的伸缩振动吸收峰,表明聚合物已成功制备。
图1 PAM-CTA-4和PAM-b-PVTES-2的FTIR谱图
图2为DBTTC、PAM-CTA-4和PAM-b-PVTES-2的1HNMR谱图。如图2所示,DBTTC的1HNMR谱图曲线中δ=1.92(a)为氘代丙酮的质子峰,δ=7.13~7.31(b)是苯环上的质子峰;δ=4.56(c)的峰为亚甲基(—CH2—)的质子峰;δ=2.62(i)为DBTTC样品中含有的极少量H2O的质子峰,可以确定成功合成了RAFT试剂DBTTC。PAM-CTA-4和PAM-b-PVTES-2的1HNMR谱图曲线中,δ=4.80(j)为重水(D2O)的质子峰;δ=7.27~7.48(b)是苯环上的质子峰;δ=4.82(d)为酰胺基(—NH2)的质子峰;δ=1.95~2.24(e)是主链上的次甲基(—CH—)的质子峰;δ=1.31~1.66(f)是主链上的亚甲基(—CH2—)的质子峰。在PAM-CTA-4曲线中,δ=3.78~3.82(c)为与苯环相连亚甲基的质子峰。PAM-b-PVTES-2曲线中δ=3.39~3.43(c+h)为与苯环相连和乙烯基中的亚甲基(—CH2—)质子峰;δ=0.93~0.95(g)为有机硅中甲基(—CH3)的质子峰。通过FTIR谱图和1HNMR谱图可以确定合成了PAM-CTA-4和PAM-b-PVTES-2。
图2 DBTTC、PAM-CTA-4和PAM-b-PVTES-2的1HNMR谱图
气溶胶固定剂PAM-b-PVTES合成路线及GPC、DSC、表面张力等性能测试(一)
气溶胶固定剂PAM-b-PVTES合成路线及GPC、DSC、表面张力等性能测试(二)
