合作客户/
拜耳公司 |
同济大学 |
联合大学 |
美国保洁 |
美国强生 |
瑞士罗氏 |
相关新闻Info
-
> CO2气体保护焊表面张力过渡的控制策略、发展及应用
> 新研究的海水基耐高温驱油压裂液界面张力值等性能优于常规驱油压裂液产品
> 诱导期测定法研究NaCl的添加对碳酸锂固-液界面张力等成核动力学参数影响——过饱和度的计算
> 高分子表面活性剂HS-PA表征和性能、粒径、表面张力、应用性能测定——实验部分
> 单层膜界面上亚微米颗粒表面张力阻力系数修正——颗粒在单层膜上的阻力系数
> 不同质量浓度、pH、盐度对三七根提取物水溶液表面张力的影响(二)
> 挪威云杉树脂临界表面张力及Hamaker常数推算
> 土层中毛细水表面张力怎么计算
> 改性环氧树脂乳液型碳纤维上浆剂制备、表面张力、黏度等性能测试(一)
> 不同温度对氢氟醚HFE7000、HFE7200表面张力和黏度影响(二)
推荐新闻Info
-
> 耐擦刮无胶消光膜制备方法、高表面张力与收解卷顺畅性的平衡(二)
> 耐擦刮无胶消光膜制备方法、高表面张力与收解卷顺畅性的平衡(一)
> 利用超微量天平制备微孔淀粉处理含Cu(II)离子染料废水
> 不同类型的碱、pH值对孤东油田原油界面张力的影响(下)
> 不同类型的碱、pH值对孤东油田原油界面张力的影响(上)
> 不同结晶结构的脂肪晶体颗粒界面自组装行为、储藏稳定性研究
> 新型POSS基杂化泡沫稳定剂表面张力测定及对泡沫压缩性能的影响(三)
> 新型POSS基杂化泡沫稳定剂表面张力测定及对泡沫压缩性能的影响(二)
188新利app
> 多功能膜材研发:界面张力已成为整套工艺链协同下动态演化的核心控制点
单层膜界面上亚微米颗粒表面张力阻力系数修正——颗粒在单层膜上的阻力系数
来源: 实验流体力学 浏览 540 次 发布时间:2025-04-22
2颗粒在单层膜上的阻力系数
在LE相表面均匀的膜上,均方位移MSD随时间间隔Δt线性增长(图4),阻力系数由爱因斯坦关系
求得,其中扩散系数
为图4中直线斜率的1/2。在LE‒TC共存相膜上,受电偶极子吸引力作用,表面带负电的颗粒与TC区域边缘粘连,在短时间间隔内,颗粒运动主要是随TC区域做旋转运动,表现为亚扩散;长时间间隔内,颗粒随TC区域做平动,表现为线性扩散,但MSD明显变小。本节将分别讨论颗粒在LE相模与LE‒TC共存相膜上的阻力系数。实验未选取TC相膜作为研究对象,是因为TC区域严重挤压,颗粒只位于TC区域的间隙中,以显微镜观察,颗粒几乎静止不动,无研究意义。
图4 200 nm颗粒在不同密度膜上均方位移MSD随时间间隔的变化
2.1 LE相膜上颗粒的阻力系数
颗粒的水动力学阻力系数取决于颗粒在水相中的浸没程度(图5,以颗粒暴露在空气中的高度d表示)。颗粒的平衡位置取决于重力、浮力及膜施加的表面张力。重力G为:
图5颗粒在肺表面活性剂膜界面上的浸没程度及颗粒所受表面张力拉力
为浸没角。由式(3)和(4)可见,与都以的速率增长,在粒径极小的情况下,远小于,因此重力作用可忽略不计,颗粒于垂直方向上的受力可视为全部来自于表面张力,由此得到颗粒的平衡条件为,即=180°。由于颗粒粒径极小,接触角实验测量难度极大,这里采用前人对大颗粒(几十微米)接触角的测量结果:
根据杨氏定理可得到不同表面张力/不同密度的膜对应的及颗粒暴露在空气中的高度d,如表1所示。
表1不同密度LE相膜上的颗粒与膜的接触角θ、浸没角ϕ及颗粒暴露在气相中的高度d为消除粒径影响,下文将转变为无量纲阻力系数为颗粒运动速度)求得。Stone解对于任意均适用。
图6为不同密度LE相膜上颗粒无量纲阻力系数实验值与理论值的对比。就理论值而言,Fischer理论值比Stone理论值稍大,因为Fischer理论考虑了Marangoni效应。但Fischer理论值仍明显小于实验值,其差值很可能来源于Boniello提出的分子热运动引起的界面微小变形—热力学毛细波对颗粒施加的表面张力,如图7所示,图中为变形界面与水平面夹角,通常约为1[25]。表面张力对颗粒阻力系数的贡献需结合热力学扰动耗散理论给出:
图6不同密度LE相膜上颗粒无量纲阻力系数实验值与理论值的对比
图7微观界面扰动对颗粒施加的瞬时表面张力示意图
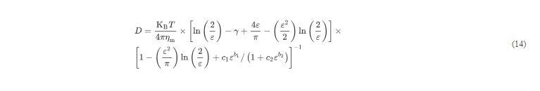
公式中,纯水界面的表面张力为宏观尺度准静态条件下的测量值。对于被膜覆盖的界面,膜的弯曲刚度、黏弹性可能会影响表面张力。此外,热力学毛细波波长为单个分子尺寸约为几纳米,与亚微米颗粒在尺寸量级上更为接近,这个尺度下的表面张力大于宏观尺度下的值,通常由热力学毛细波振幅测得:
整体被看作膜的“等效表面张力”,q为傅里叶空间波数。Meunier[39]给出为膜在宏观大尺度下测得的表面张力,
为膜的弯曲刚度(对于单层膜可忽略不计[40])。表面张力受膜黏弹性影响[29],
取决于毛细波角频率与膜黏弹性松弛时间的比值,由Maxwell模型可得:
(13)
图8拟合值与膜上DPPC磷脂分子平均间距的对比
2.2 LE–TC共存相膜上颗粒的阻力系数
在LE–TC共存相膜上,所有颗粒均与TC区域边缘粘连,因此难以确定颗粒的等效粒径,本节只对其扩散系数进行讨论。首先,由实验测量了无颗粒喷洒膜上TC区域的扩散系数(图9(a)),由HPW模型拟合:
图9 68Å/molecule膜上TC区域及与TC区域粘连颗粒的扩散系数
均为常数,取自文献。肺表面活性剂单层膜厚度为1 nm,由此可得膜的体黏度为0.77 Pa·s,是纯水黏度的770倍。图9(b)将与TC区域粘连的颗粒的扩散系数(以圆形表示)与单独TC区域的扩散系数(以虚线表示)进行了对比,后者选取3.5µm为平均TC区域直径(参照图2照片),由HPW模型代入计算得出。可以看出,在实验统计误差范围内,二者近似相等,表明颗粒与TC区域形成的整体受力主要来自于TC区域。TC区域直径远大于颗粒直径,膜内黏滞阻力更大;此外,膜的体黏度远大于水相,因此水相对颗粒浸没部分施加的黏滞阻力可忽略不计。
3结论
本文实验研究了亚微米颗粒在单层生物膜(肺表面活性剂膜)界面上的阻力系数与扩散行为,测量结果显示颗粒的运动需综合考虑水动力学、界面热力学扰动、膜的表面张力和非牛顿流体黏弹性等力学性质以及膜微观结构等因素的影响,得出如下结论:
1)肺表面活性剂膜的力学特性伴随着复杂的相变规律且与微观结构相关,膜被初步压缩时,表面压强随膜密度增大而增大,表面张力则与表面压强变化趋势相反,此时膜表面结构均匀,处于LE液态相;随着膜被继续压缩,膜上开始出现局部的微米磷脂凝聚TC区域,与LE液态区域共存,此时为LE–TC共存相。在这个相态下,随着膜密度增大,表面压强保持恒定,仅TC区域在膜上的面积占比逐渐增大;当膜被进一步压缩,膜上TC区域几乎覆盖了膜的表面,TC区域相互挤压,膜表面压强随着密度增大陡然上升,此时的膜处于TC凝聚相。
2)在LE相表面结构均匀的膜上,颗粒阻力系数等于水动力学阻力系数与热力学毛细波界面扰动表面张力阻力系数之和。其中,界面扰动表面张力需体现膜的黏弹性及微纳尺度,因此加入了黏弹性项以及热力学毛细波波数项。利用热力学毛细波波长拟合实验测量值发现,约等于膜内主要成分DPPC磷脂分子的平均间距,符合热力学界面扰动的理论描述。
3)在LE–TC共存相膜上,颗粒均与TC区域边缘粘连,其整体的受力基本全部来源于TC区域。TC区域膜接触线周长较颗粒更大,且膜的体黏度远大于水相黏度,导致无论是膜对颗粒施加的阻力还是水相对颗粒浸没体积施加的阻力贡献都极小。
