18l18luck新利 Info
合作客户/
拜耳公司 |
同济大学 |
联合大学 |
美国保洁 |
美国强生 |
瑞士罗氏 |
相关新闻Info
-
> CO2气体保护焊表面张力过渡的控制策略、发展及应用
> 新研究的海水基耐高温驱油压裂液界面张力值等性能优于常规驱油压裂液产品
> 诱导期测定法研究NaCl的添加对碳酸锂固-液界面张力等成核动力学参数影响——过饱和度的计算
> 高分子表面活性剂HS-PA表征和性能、粒径、表面张力、应用性能测定——实验部分
> 单层膜界面上亚微米颗粒表面张力阻力系数修正——颗粒在单层膜上的阻力系数
> 不同质量浓度、pH、盐度对三七根提取物水溶液表面张力的影响(二)
> 挪威云杉树脂临界表面张力及Hamaker常数推算
> 土层中毛细水表面张力怎么计算
> 改性环氧树脂乳液型碳纤维上浆剂制备、表面张力、黏度等性能测试(一)
> 不同温度对氢氟醚HFE7000、HFE7200表面张力和黏度影响(二)
推荐新闻Info
-
> 耐擦刮无胶消光膜制备方法、高表面张力与收解卷顺畅性的平衡(二)
> 耐擦刮无胶消光膜制备方法、高表面张力与收解卷顺畅性的平衡(一)
> 利用超微量天平制备微孔淀粉处理含Cu(II)离子染料废水
> 不同类型的碱、pH值对孤东油田原油界面张力的影响(下)
> 不同类型的碱、pH值对孤东油田原油界面张力的影响(上)
> 不同结晶结构的脂肪晶体颗粒界面自组装行为、储藏稳定性研究
> 新型POSS基杂化泡沫稳定剂表面张力测定及对泡沫压缩性能的影响(三)
> 新型POSS基杂化泡沫稳定剂表面张力测定及对泡沫压缩性能的影响(二)
> 新型POSS基杂化泡沫稳定剂表面张力测定及对泡沫压缩性能的影响(一)
> 多功能膜材研发:界面张力已成为整套工艺链协同下动态演化的核心控制点
当前位置:首页 > 18l18luck新利
谁的表面张力更大?
来源:李传亮 浏览 1445 次 发布时间:2022-06-20
从前发过一个帖子“好大的泡泡“,帖了两张吹的比人还大的肥皂泡泡供大家娱乐消遣,并说了大泡泡的表面张力也会很大的意思。
有网友提出了不同看法,说大泡泡的表面张力不是很大,应该很小,表面张力小才容易起泡,增加表面积做功才最少。
他们的说法似乎也有道理,一个泡泡图片引发了大家的思考,是一件很好的事情。
我是这样分析泡泡的受力情况的,图中的泡泡不是人吹的,而是风吹的,泡泡的内外都是空气,但里面的压力肯定比外面的压力高,二者的差值为泡泡的附加压力,也就是人们常说的毛管压力。由于风是固定的,因此附加压力的数值也是一样的。在相同的附加压力下,是大泡泡的表面张力大,还是小泡泡的表面张力大呢?
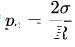
由于附加压力
,曲率半径越大,表面张力[公式]也就越大,因此,只有表面张力较大的液体才能吹成更大的泡泡。若表面张力较小,还没等吹大就破了。表面张力与固体材料的应力强度极为相似,都是破裂时的力学性质。
我没有深入研究过表面化学,一时也找不到更好的解释,请大家讨论一下吧,看谁能给出更好的答案,期待中。。。

