合作客户/
拜耳公司 |
同济大学 |
联合大学 |
美国保洁 |
美国强生 |
瑞士罗氏 |
相关新闻Info
推荐新闻Info
-
> 耐擦刮无胶消光膜制备方法、高表面张力与收解卷顺畅性的平衡(二)
> 耐擦刮无胶消光膜制备方法、高表面张力与收解卷顺畅性的平衡(一)
> 利用超微量天平制备微孔淀粉处理含Cu(II)离子染料废水
> 不同类型的碱、pH值对孤东油田原油界面张力的影响(下)
> 不同类型的碱、pH值对孤东油田原油界面张力的影响(上)
> 不同结晶结构的脂肪晶体颗粒界面自组装行为、储藏稳定性研究
> 新型POSS基杂化泡沫稳定剂表面张力测定及对泡沫压缩性能的影响(三)
> 新型POSS基杂化泡沫稳定剂表面张力测定及对泡沫压缩性能的影响(二)
> 新型POSS基杂化泡沫稳定剂表面张力测定及对泡沫压缩性能的影响(一)
> 多功能膜材研发:界面张力已成为整套工艺链协同下动态演化的核心控制点
气-水界面脂质单分子层结构域间的偶极相互作用【上】
来源:上海谓载 浏览 1910 次 发布时间:2022-07-11
多种生物相关单分子膜呈现相共存,其特征是由分散在连续无序相中的有序相态脂质形成的域。由于这些相之间表面密度的差异,产生了畴间偶极相互作用。这些相互作用与域的空间分布及其动力学的确定有关。在这项工作中,我们提出了一种使用被动方法估计偶极斥力的新方法,该方法涉及分析具有相位共存的单层的图像。该方法基于实验获得的配对相关函数与模型系统布朗动力学模拟获得的配对相关函数的比较。作为一个例子,我们通过分析磁畴的径向分布来确定DSPC/DMPC二元单层在空气-水界面上的偶极密度差异,并将结果与通过表面电位测定获得的结果进行比较。对实验相关参数范围进行了系统分析,该参数范围可作为获得不同系统中偶极斥力的工作曲线。
1、引言
在不同的生物膜中,经常观察到相共存,这取决于膜和水组成、温度和膜的特定模型(朗缪尔单分子膜、支撑膜、独立双层,例如巨大的单层囊泡或黑色脂膜等)。当致密相不是连续相时,观察到域(某些脂质成分称为筏)在更流动的相中移动。这些结构域相互作用1-4,这些相互作用影响其自身的运动4,5以及膜中其他物种的运动。6,7
畴间相互作用可能与静电力(偶极或库仑斥力)有关,这些静电力与共存相的自发曲率和畴运动时出现的水动力有关。这些力阻碍了结构域的聚合,并在长时间尺度上调节膜中物种的可用性及其动力学。偶极斥力总是存在的,因为形成膜的分子是有序的和偶极的。库仑力出现在带电畴中,而当共存相的自发曲率明显不同时,曲率效应很重要,对于具有高线张力的大畴。3.
偶极斥力可以通过界面上组织的表面活性剂的偶极密度差来估计,包括极性头基团区域中水合水的贡献。8测定均匀膜的平均偶极矩(分子+水合水)值的一种常用方法是测定空气-水界面处朗缪尔单分子膜的表面电位。9-11或者,在双层膜中使用了对局部电位敏感的探针,以及电导测量。12因此,如果共存相的组成已知,则具有每个相组成的单层或双层的偶极电势可以估计每个相的偶极密度,从而估计它们之间的差异。
然而,共存相的组成并不总是容易获得,尤其是对于含有两个以上组分的系统,因此不可能通过偶极电位测量来估计偶极密度的差异。此外,当单组分膜的相变形成畴时,在相同的温度和分子密度下估计每个相的偶极电势并不简单。
结构域的存在是不同模型膜以及哺乳动物(假定大小为纳米)、13酵母、真菌和植物(半径在微米范围内)的质膜中的一个共同特征。14,15在这些自然系统中,膜的组成非常复杂,因此不可能知道域的精确组成,因此也无法从偶极电位测量中估计偶极密度的差异。
确定相共存单分子膜中偶极斥力的其他替代方法基于对畴平衡尺寸分布的分析。16,17 Mulder16提出的方法通过高斯近似精确的尺寸分布,并使用简化的理论分析,其中近似处理域间相互作用。另一方面,Lee等人17通过用平衡热力学表达式拟合尺寸分布,获得了过量偶极密度。他们的方案假设域之间没有相互作用,因此对于充分稀释的域是有效的。
在这项工作中,我们提出了一种使用被动方法估计偶极斥力的新方法,该方法涉及分析具有相位共存的单层的图像。我们利用了一个事实,即域之间的偶极斥力促进了域的二维空间排列,其中平均域-域距离最大。因此,斥力将诱导畴分布,从而导致液体系统的径向分布函数特性。18该方法基于将从实验中获得的配对相关函数与模型系统的布朗动力学模拟进行比较。作为一个例子,我们通过分析磁畴的径向分布来确定DSPC/DMPC二元单层在空气-水界面上的偶极密度差异,并将结果与通过表面电位测定获得的结果进行比较。
2、实验部分
混合二硬脂酰磷脂酰胆碱(DSPC)和二吡啶酰磷脂酰胆碱(DMPC)单分子膜具有广泛的组成和侧压力,其中它们表现出两相液凝(LC)和液胀(LE)共存区域。在室温下,混合单分子膜显示分散在LE连续相中的LC微米级畴,侧压为10 mN m-1,DSPC的组成高于24 mol%。5.
我们使用荧光显微镜拍摄了不同DSPC浓度下混合单分子膜的显微照片。我们使用DSPC、DMPC和亲脂性荧光探针L-R-磷脂酰乙醇胺-N-(赖氨酸罗丹明B磺酰基)铵盐(鸡蛋,反式磷脂酰化)(Rho-PE)进行了实验,该探针购自Avanti Polar Lipses(Alabaster,AL)。用于亚相的水来自Milli-Q系统(微孔),电阻率为18 MO-cm,表面张力为72 mN m-1。
荧光探针(Rho-PE)在以1 mol%或更低的浓度扩散之前被并入脂质溶液中。在纯净水亚相的朗缪尔槽(微槽XS,Kibron-Finnland)中形成单层。将脂质混合物溶解在氯仿:甲醇(2:1)中,以获得1 nmol ml 1的溶液,将其摊铺在水表面。我们在室温T=(20±1)1C下进行实验,并将薄膜压缩至侧向压力p=(10±1)mN m-1,使用Wilhelmy方法测定Pt板。
在将脂质层摊铺在提升1.5倍的区域后,将亚相水平降低到约3 mm的厚度,以最小化对流。朗缪尔天平放置在倒置显微镜(Axiovert 200,蔡司)的工作台上,该显微镜配有CCD IxonEM+型号DU-897(和或技术)摄像机、100物镜、连续固态激光器(TEM00,532 nm至200 mW,Roithner Lasertech)和罗丹明发射滤波器。荧光探针优先在LE相上分配,因此在凝聚相中由脂质形成的区域在图像中看起来更暗。
使用KSV NIMA表面电位传感器(芬兰赫尔辛基),采用振动板法测定朗缪尔单分子膜中的表面电位。薄膜是用纯DSPC(凝聚态的成分5)或含有24 mol%DSPC(膨胀相的成分5)的DSPC和DMPC的混合物制备的。
2.1、图像分析和径向分布函数
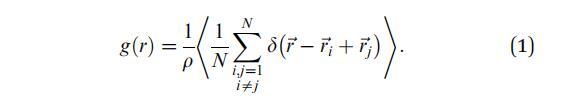
表征单层结构的一个关键量是径向分布函数g(r)。考虑到单层平面中域的均匀分布,g(r)表示在选择为参考点的另一个域的距离r处找到域的概率:
这里,r=N/A是数密度,N是域数,A是总单层面积,d(-r)是狄拉克δ函数,角括号表示平衡系综平均值。
从显微照片中,我们计算了凝聚面积分数f,定义为域占单层面积的面积比。为此,我们确定了每个相位的数量,使用图像处理软件ImageJ将原始灰度图像转换为黑白图像。19然后,确定黑色区域占用的总面积,该面积对应于域占用的面积。
为了处理图像,我们使用带通滤波器去除了图像中的轻微不均匀照明(由于激光束轮廓的强度分布)。然后,我们选择一个特定的灰度级别,强度高于该阈值的所有像素被转换为“白色”,而强度低于该阈值的像素被转换为“黑色”。阈值水平的值是根据结构的最佳分辨率,通过与原始照片进行恒定的眼睛比较来确定的。阈值必须仔细选择,因为它确定了f.4的主要误差源。不同的阈值会改变域的大小;因此,g(r)的确定不会受到显着影响,因为它仅取决于域中心的位置。然而,选择低阈值可能导致低估域的数量,因为最小的域(域面积小于4像素)看起来比较大的域轻。因此,选择阈值是为了使域总数的修改不超过10%。
我们计算每个单层的径向分布函数,作为域中心到中心距离r的直方图。对于每种情况,使用1000微图左右的数字,大小为122122 mm2,并选择0.5 px(0.12 mm)的分块。该尺寸大于r中的误差,Dr=0.3 px(0.07 mm),并且足够小,可以获得特征良好的曲线。g(r)的误差是使用标准差为r的每个值独立计算的。
2.2、模拟
我们考虑在其两相LC和LE共存区域中的单分子膜,其中LC相在LE相中形成域,占据单分子膜的较大面积。由于表面密度的差异,LC畴相对于周围的LE相具有过量的偶极密度。20这源于域之间的偶极排斥相互作用。通常在DSPC–DMPC单分子膜中,结构域呈现近似圆形。
我们将混合单分子膜建模为均匀层,介电常数em位于两个不同的半无限介质(空气和水)之间。该层由有效偶极密度s垂直于界面的单分散圆形磁畴组成。在该模型中,两个磁畴之间产生的偶极对电势Ud可以用以下公式描述:
其中Ai表示域i的面积,dai表示其面积元素,-ri表示其相对于域中心的位置向量,i=1,2-r是从域1中心到域2中心的向量,如图1所示。e0是真空介电常数,ew和ea分别是水和空气的相对介电常数。在这里,我们使用了Urbakh等人21的研究结果,该研究描述了由两个半无限介质包围的薄电介质层中偶极子之间的相互作用。
注意,在定义
相互作用势Ud相当于浸入具有有效介电常数e*的均匀介质中的两个磁畴的相互作用势Ud。
图1具有中心到中心距离R的两个等半径R和多余偶极密度s的域。
由该势导出的作用在域1上的力为
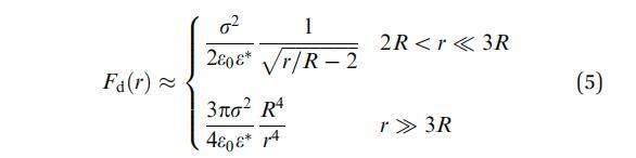
该力沿中心线分布,其大小仅取决于域之间的距离r。Fd(r)没有解析表达式,因此必须进行数值计算。然而,对于单分散系统的特殊情况(所有域半径等于R),Wurlitzer等人22发现该力的渐近行为为:

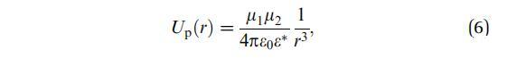
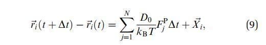
正如预期的那样,对于较大距离,它减少到两点偶极子r 4的力。这些表达式不描述实验相关区间(2+0.1)R 10R内的域之间的相互作用,因此必须对等式(4)进行数值积分。与解析表达式相比,该4D积分在模拟中代表了更多的计算工作量。这就是为什么更容易近似磁畴中心点偶极子的相互作用,偶极矩mi表示磁畴区域上的偶极密度,mi=sAi。然后,垂直于界面的点偶极子的对电势为
域1上的相应力为
其中,ˆr是(ˆr=-r/r)在-r方向上的酉向量。为了方便起见,我们定义了
表征力Fd和Fp强度的量。
图2显示了两个半径相等的圆形区域的Fd(r)(实线)和Fp(r)(虚线)。叠加在等式(4)的数值解上,我们添加了等式(5)(虚线)的短距离的渐近表达式。注意,当两个域接近接触(r=2R)时,Fd发散,而Fp保持有限。此外,对于实验感兴趣的范围2R o r o 10R,两个力之间的差异是可观的。特别是,即使r=5R,差值也在15%左右。
点偶极近似在短距离和中间距离偏离偶极密度力。因此,用两种方案获得的单层膜的结构特性有显着差异。
我们将混合单层建模为浸入有效流体中的等半径(单分散)相互作用硬盘的二维布朗悬浮液,每个硬盘代表一个理想的脂质域。域间相互作用由等式(2)加上硬核排斥部分给出的全偶极密度对势来描述。同样的系统也使用点偶极子势方程(6)进行了研究,以分析这种更容易实现的近似的有效性。
图2以相互作用强度f0为单位,具有相同半径R的两个域的偶极相互作用力Fd和点偶极近似力Fp是边界到边界分离R/R 2的函数。文中还给出了有限差分在短距离下的渐近表达式。
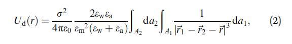
为了研究这两种混合单层模型的静态特性,我们进行了布朗动力学(BD)模拟。在该格式中,描述在时间步长Dt期间浸入流体中的N个相同布朗盘的平面内位移的有限差分方程由23给出
其中,FPj是由于所有其他N 1圆盘作用在圆盘j上的直接总力,D0是圆盘扩散系数,kB是玻尔兹曼常数,T是温度,%Xi是源于溶剂-粒子碰撞的粒子i的随机位移矢量。%Xi从具有零均值和协方差矩阵的高斯分布中采样:
其中I是单位矩阵,di,j是克罗内克三角洲。
预先计算了域间偶极密度力eqn(4),并将这些值制成表格,供以后在模拟中使用。方程(4)中的4d积分使用蒙特卡洛算法计算2.003 o r/r o 22,并且在该范围外使用渐近线的解析表达式,方程(5)。
在周期边界条件下,使用最小镜像约定,模拟系统由半径为R的N个磁盘组成。模拟框L的大小使用冷凝面积分数f=NpR2/L2的表达式确定。
在我们的模拟中,我们使用由单层显微照片确定的f,N=144个圆盘,Dt=210 4R2/D0。系统地改变确定系统的剩余参数f0,以找到与实验g(r)的最佳一致性。
我们验证了,对于所研究的系统,结构量中不存在系统大小依赖性。通过与2D系统上已发布的模拟数据进行比较,针对具体示例测试了我们的BD模拟方法的准确性。24

